آخر تحديث :
18/03/2026
مضاد حيوي   Amoxicillin sodium / clavulanic acid  
عن طريق الفم
حقن
استقرار المستحضرات الصيدلانية استقرار مخاليط العوامل التي تؤثر على الاستقرار التوافق مراجع pdf
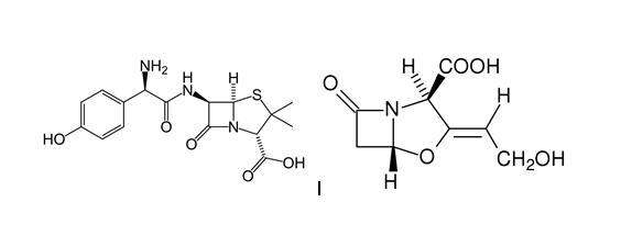
   التركيب الكيميائي  

عن طريق الفم

العوامل التي تؤثر على الاستقرار   عن طريق الفم     العوامل التي تؤثر على الاستقرار : Amoxicillin sodium / clavulanic acid        
مراجع
درجة الحرارة 25 ° C الحث تخفيض الاستقرار 2508
درجة الحرارة 25 ° C الحث انحلال 2951

  Mentions Légales