Letztes “update” :
18/03/2026
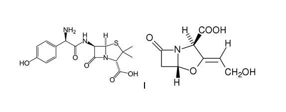
Antibiotikum   Amoxicillin sodium / clavulanic acid  
Lösung zum Einnehmen
Injektion
Stabilität von pharmazeutischen Präparaten Gemengestabilität Stabilitätbeeinflussende Faktoren Kompatibilitäten Literaturverzeichnis pdf
   Chemische Struktur  

Lösung zum Einnehmen

Stabilitätbeeinflussende Faktoren   Lösung zum Einnehmen   Stabilitätbeeinflussende Faktoren : Amoxicillin sodium / clavulanic acid        
Literaturverzeichnis
Temperatur 25°C Führt zu Stabilitätsverringerung 2508
Temperatur 25°C Führt zu Degradation 2951

  Mentions Légales