Siste oppdatering :
18/03/2026
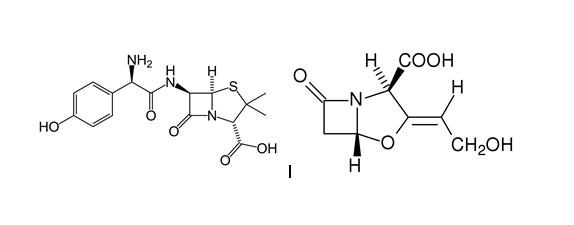
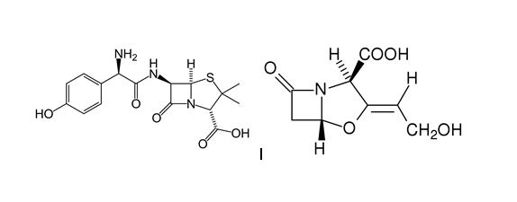
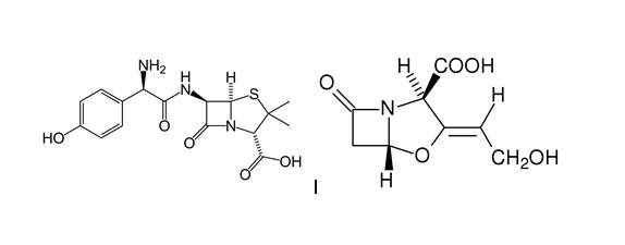
Antibiotika   Amoxicillin sodium / clavulanic acid  
Mikstur
Injeksjon
Stabilitet av farmasøytiske preparater Stabilitet i blandinger Faktorer som påvirker stabiliteten Kompatibilitet Referanser pdf
   Kjemisk struktur  

Mikstur

Faktorer som påvirker stabiliteten   Mikstur   Faktorer som påvirker stabiliteten : Amoxicillin sodium / clavulanic acid        
Referanser
Temperatur 25°C Induserer Redusert stabilitet 2508
Temperatur 25°C Induserer Degradasjon 2951

  Mentions Légales