Zadnji put ažurirano :
18/03/2026
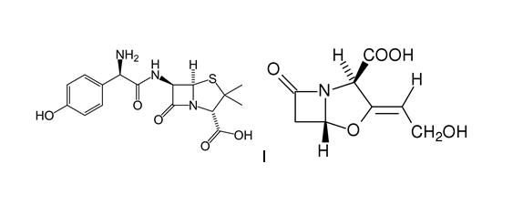
antibiotik   Amoxicillin sodium / clavulanic acid  
oralna otopina
injekcija
Stabilnost farmaceutskih pripravaka Stabilnost mješavine Stabilizacijski faktor Kompatibilnosti Bibliografija pdf
   Kemijska struktura  

oralna otopina

Stabilizacijski faktor   oralna otopina     Stabilizacijski faktor : Amoxicillin sodium / clavulanic acid        
Bibliografija
temperatura 25°C izaziva Smanjenje stabilnosti 2508
temperatura 25°C izaziva Degradacija 2951

  Mentions Légales