Poslední aktualizace :
18/03/2026
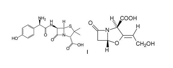
Antibiotikum   Amoxicillin sodium / clavulanic acid  
Perorální roztok
injekce
Stabilita farmaceutických přípravků Stabilita směsí Faktory ovlivňující stabilitu Kompatibilita Odkazy pdf
   Chemický vzorec  

Perorální roztok

Faktory ovlivňující stabilitu   Perorální roztok   Faktory ovlivňující stabilitu : Amoxicillin sodium / clavulanic acid        
Odkazy
Teplota 25°C Indukuje Snížená stabilita 2508
Teplota 25°C Indukuje Rozklad 2951

  Mentions Légales