Última actualización :
18/03/2026
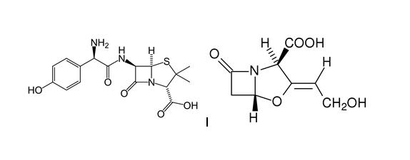
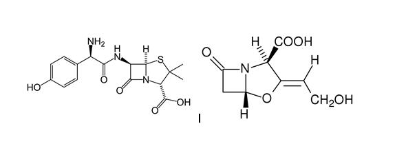
Antibiótico   Amoxicillin sodium / clavulanic acid  
Solución Oral
Inyectables
La estabilidad de las preparaciones farmacéuticas Estabilidad en mezcla Factores que influyen sobre la estabilidad Compatibilidades Bibliografía pdf
   Estructura química  

Solución Oral

Factores que influyen sobre la estabilidad   Solución Oral   Factores que influyen sobre la estabilidad : Amoxicillin sodium / clavulanic acid        
Bibliografía
Temperatura 25°C Provoque Disminución de la estabilidad 2508
Temperatura 25°C Provoque Degradación 2951

  Mentions Légales