最新更新 :
18/03/2026
抗生素   Amoxicillin sodium / clavulanic acid  
口服剂
注射液
制剂的稳定性 混合物稳定性 影响稳定性的因素 兼容性 引用文献 PDF
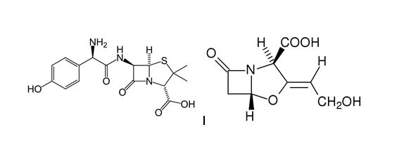
   化学式  

口服剂

影响稳定性的因素   口服剂   影响稳定性的因素 : Amoxicillin sodium / clavulanic acid        
引用文献
温度 25°C 诱导 稳定性减弱 2508
温度 25°C 诱导 分解 2951

  Mentions Légales