最新更新 :
18/03/2026
抗菌薬   Amoxicillin sodium / clavulanic acid  
経口液
注射薬
調剤時の安定性 混合時の安定性 安定性に影響する因子 互換性 引用文献 PDF
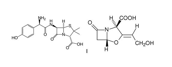
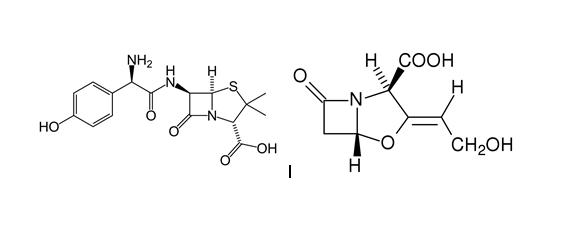
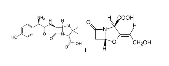
   化学構造  

経口液

安定性に影響する因子   経口液   安定性に影響する因子 : Amoxicillin sodium / clavulanic acid        
引用文献
温度 25°C 誘導 安定性減少 2508
温度 25°C 誘導 分解 2951

  Mentions Légales