Senaste uppdateringen :
18/03/2026
Diverse   Baclofen  
Oral lösning
injektion Salvor
Stabilitet av läkemedel Stabilitet i blandningar Faktorer som påverkar stabiliteten Kompatibilitet Hänvisningar pdf
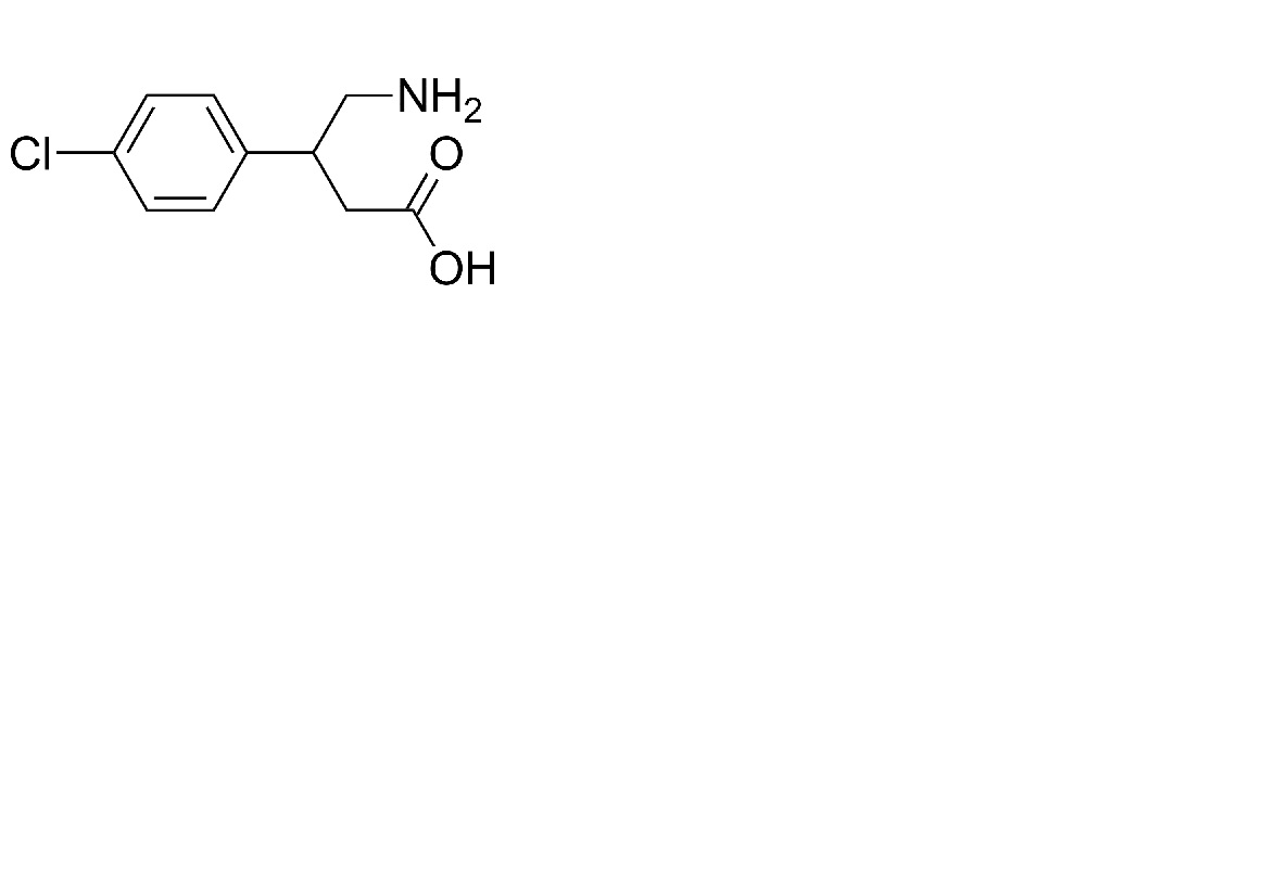
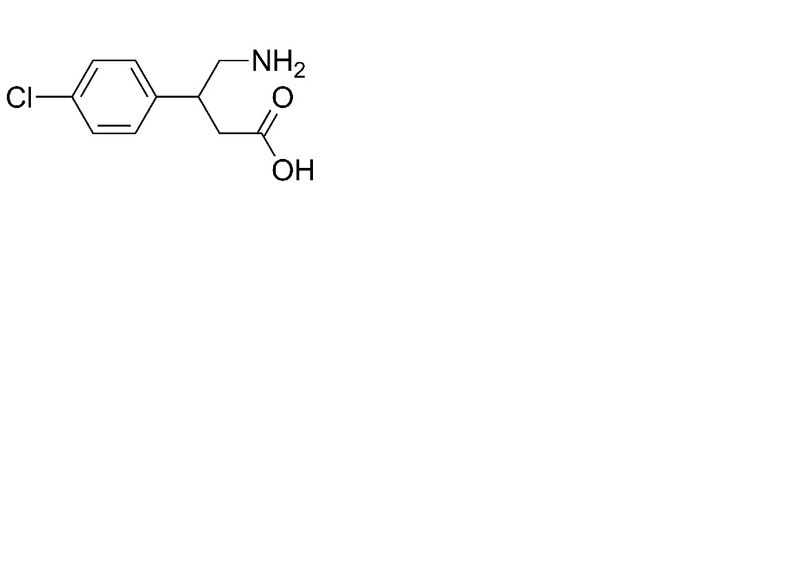
   Molekylstruktur  

Oral lösning
Kompatibilitet   Oral lösning   Kompatibilitet : Baclofen              
Ingen uppgift

  Mentions Légales