viimane versioon :
18/03/2026
mitmesugune   Baclofen  
suukaudne lahus
salv Süsteravim
Stabiilsust ravimpreparaadid Stabiilsust mõjutavad tegurid stabiilsust mõjutavad faktorid Sobimatus Viited pdf
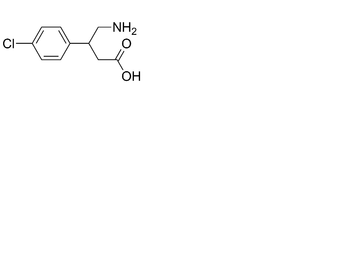
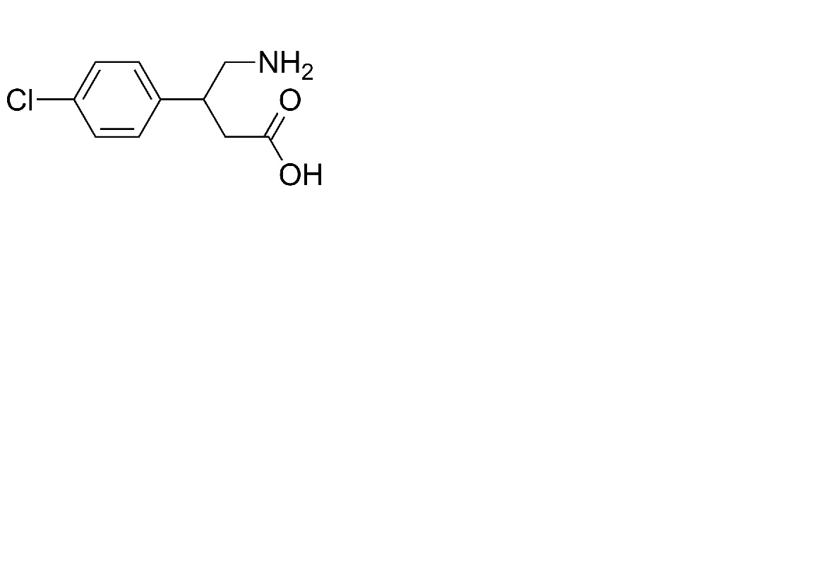
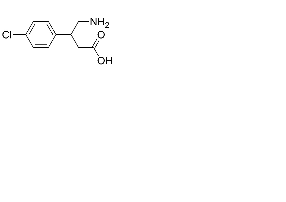
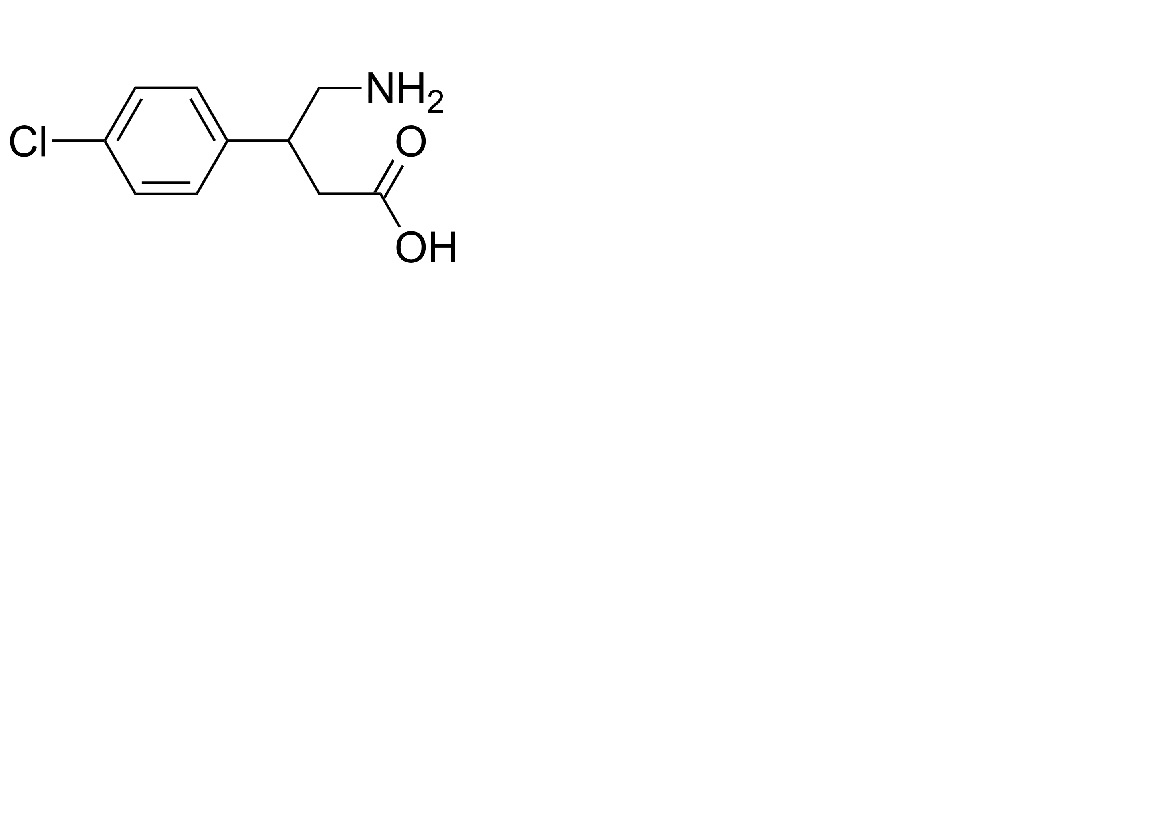
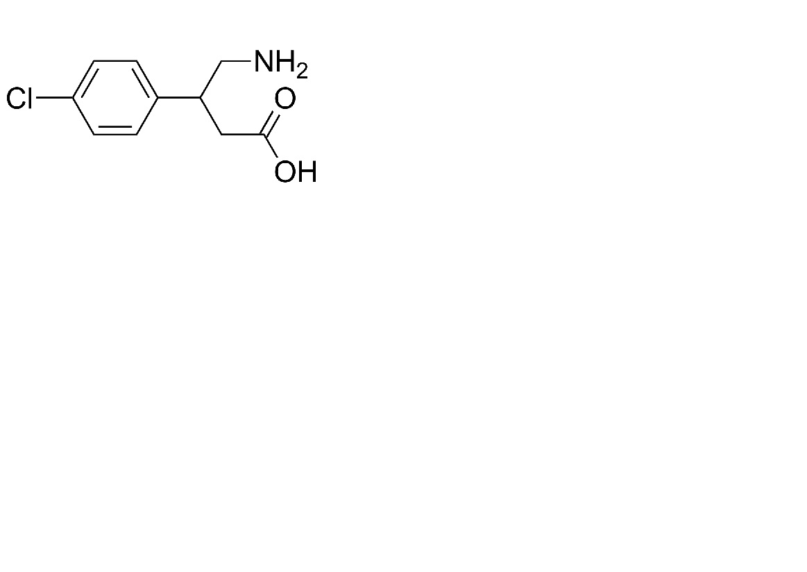
   keemiline struktuur  

suukaudne lahus
Sobimatus   suukaudne lahus   Sobimatus : Baclofen              
andmed puuduvad

  Mentions Légales