Dernière mise à jour :
18/03/2026
Divers   Baclofen  
Solution buvable
Forme dermique injectable
Stabilité des préparations Stabilité en mélange Facteur influençant la stabilité Compatibilités Bibliographie pdf
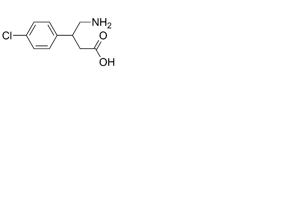
   Structure chimique  

Solution buvable
Compatibilités   Solution buvable   Compatibilités : Baclofen              
Aucune donnée

  Mentions Légales