Pēdējā atjaunošana :
18/03/2026
Dažādi   Baclofen  
Orāls šķīdums
Injekcija Ziedes
Stabilitāte farmaceitisko preparātu Maisījuma stabilitāte Stabilitāti ietekmējoši faktori Saderība Literatūras saraksts pdf
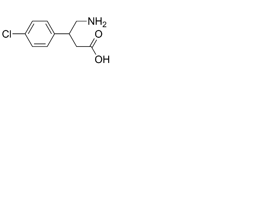
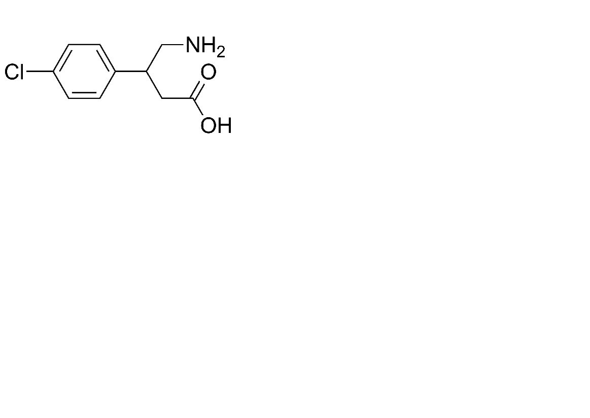
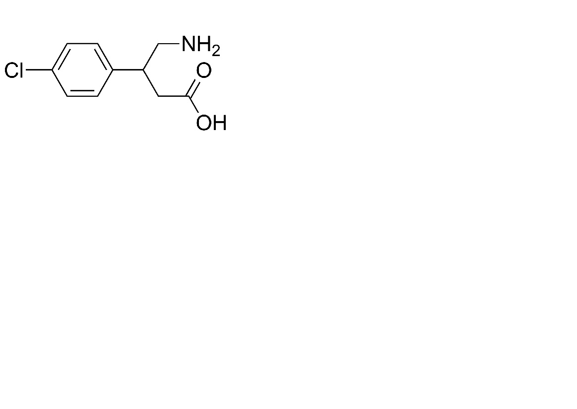
   Ķīmiskā uzbūve   

Orāls šķīdums
Saderība   Orāls šķīdums   Saderība : Baclofen              
Nav datu

  Mentions Légales