Last update :
18/03/2026
Various   Baclofen  
Oral solution
injection Ointments
Stability of pharmaceutical preparations Stability of mixtures Factors which affect stability Compatibility References pdf
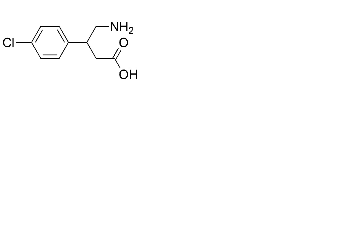
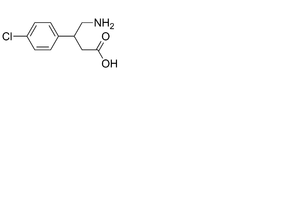
   Chemical structure  

Oral solution
Compatibility   Oral solution   Compatibility : Baclofen              
No data

  Mentions Légales