Posledná aktualizácia :
18/03/2026
rôzne   Baclofen  
Perorálny roztok
Dermálny prípravok Injekcia
Stabilita farmaceutických prípravkov Stabilita v zmesiach Faktory ovplyvňujúce stabilitu Kompatibility Odkazy na literatúru PDF
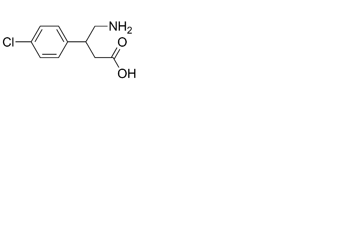
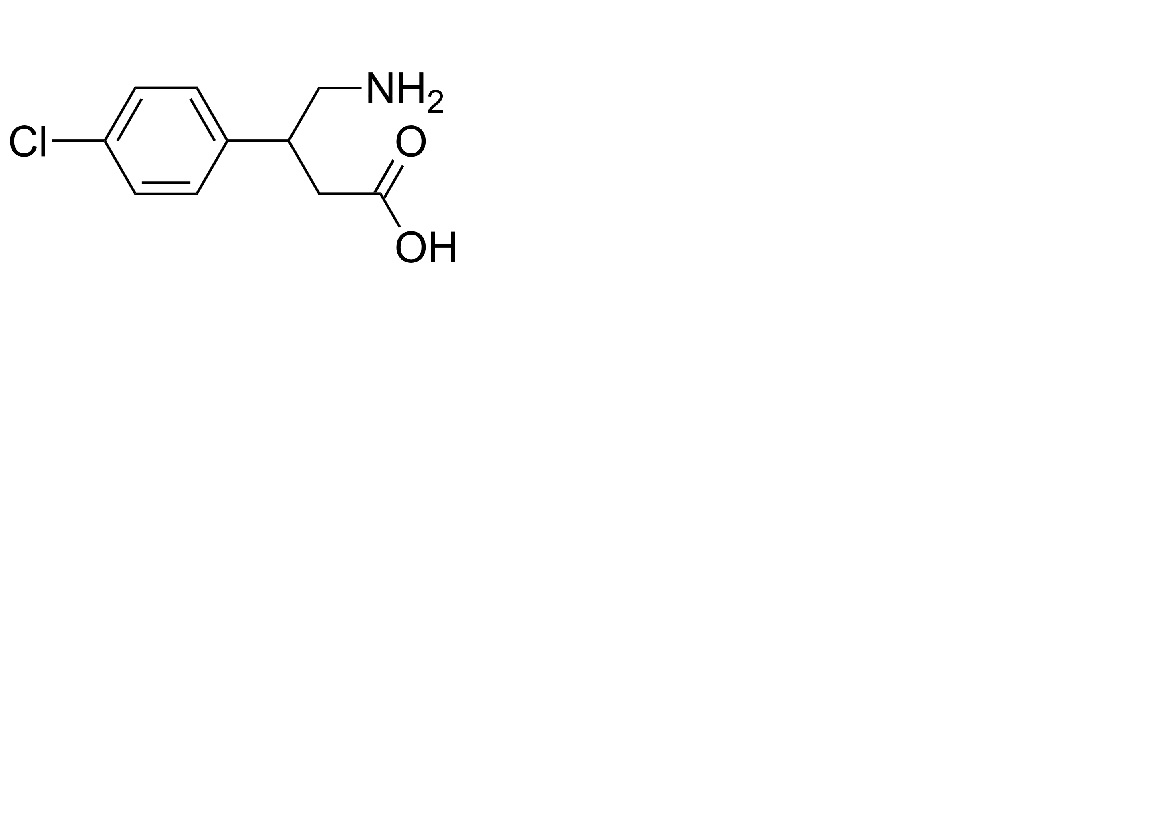
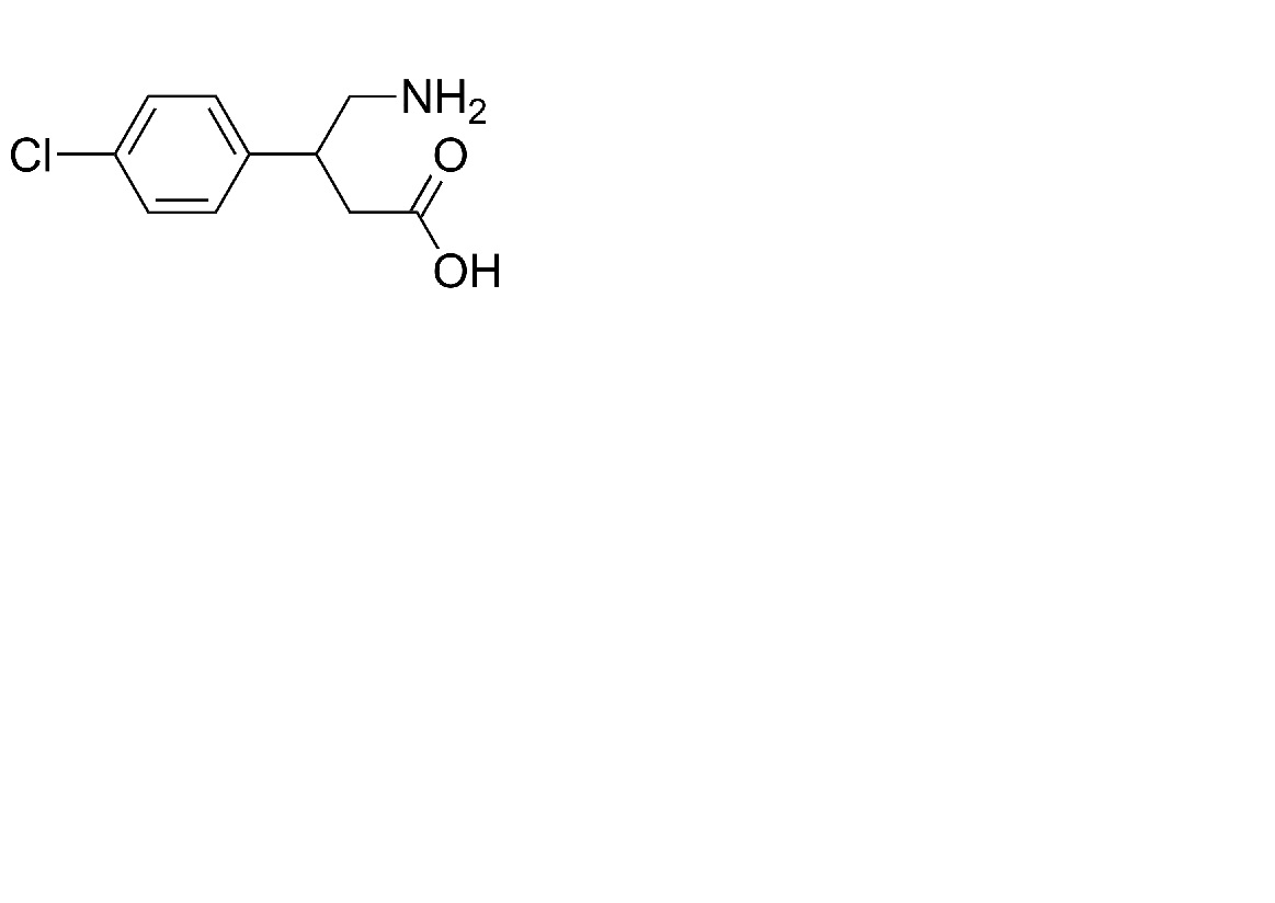
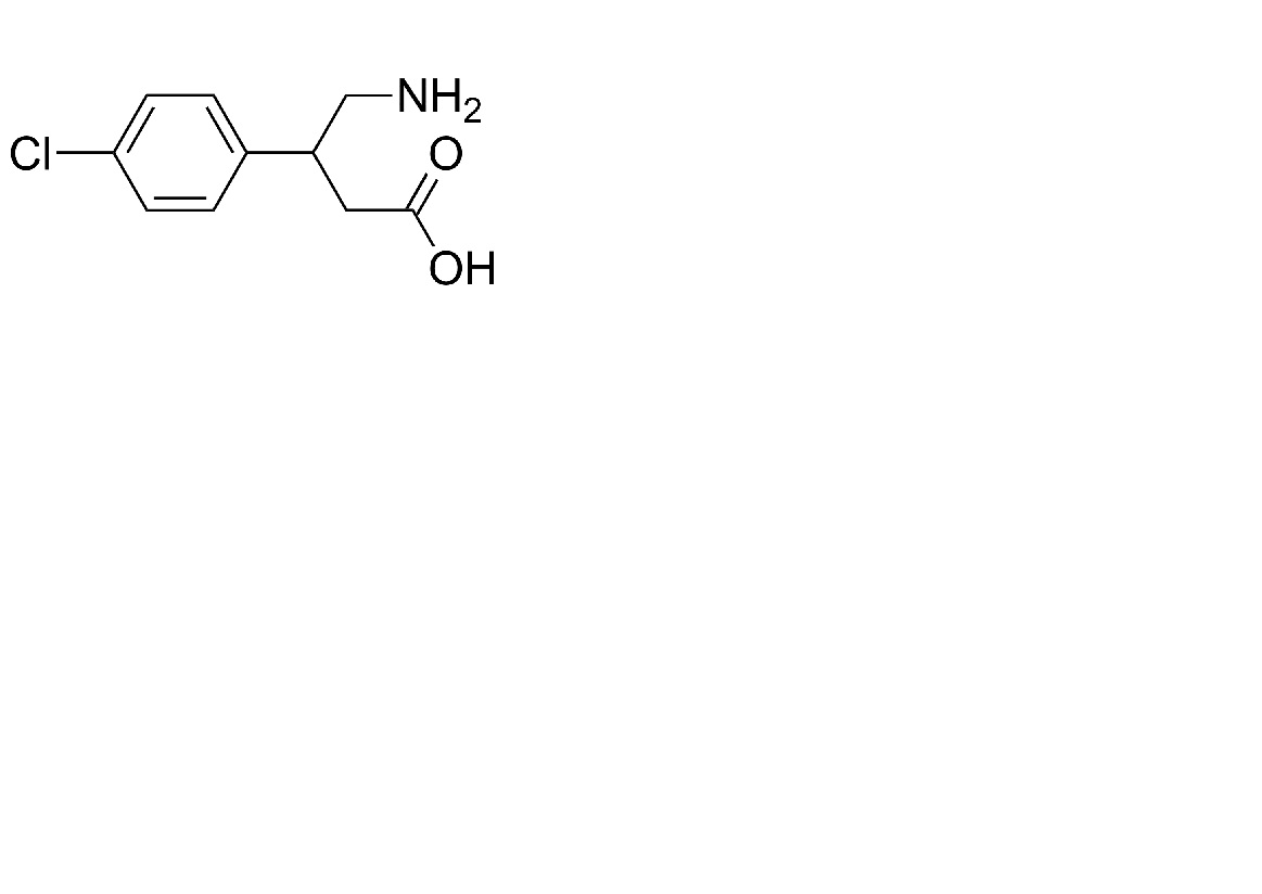
   Chemický vzorec  

Perorálny roztok
Kompatibility   Perorálny roztok   Kompatibility : Baclofen              
žiadne údaje

  Mentions Légales