Ultimele actualizari :
18/03/2026
Diverse   Baclofen  
Soluţie orală
Injectabil Unguente
Stabilitatea preparatelor farmaceutice Stabilitatea in amestec Factorii care influenteaza stabilitatea Compatibilitate Bibliografie pdf
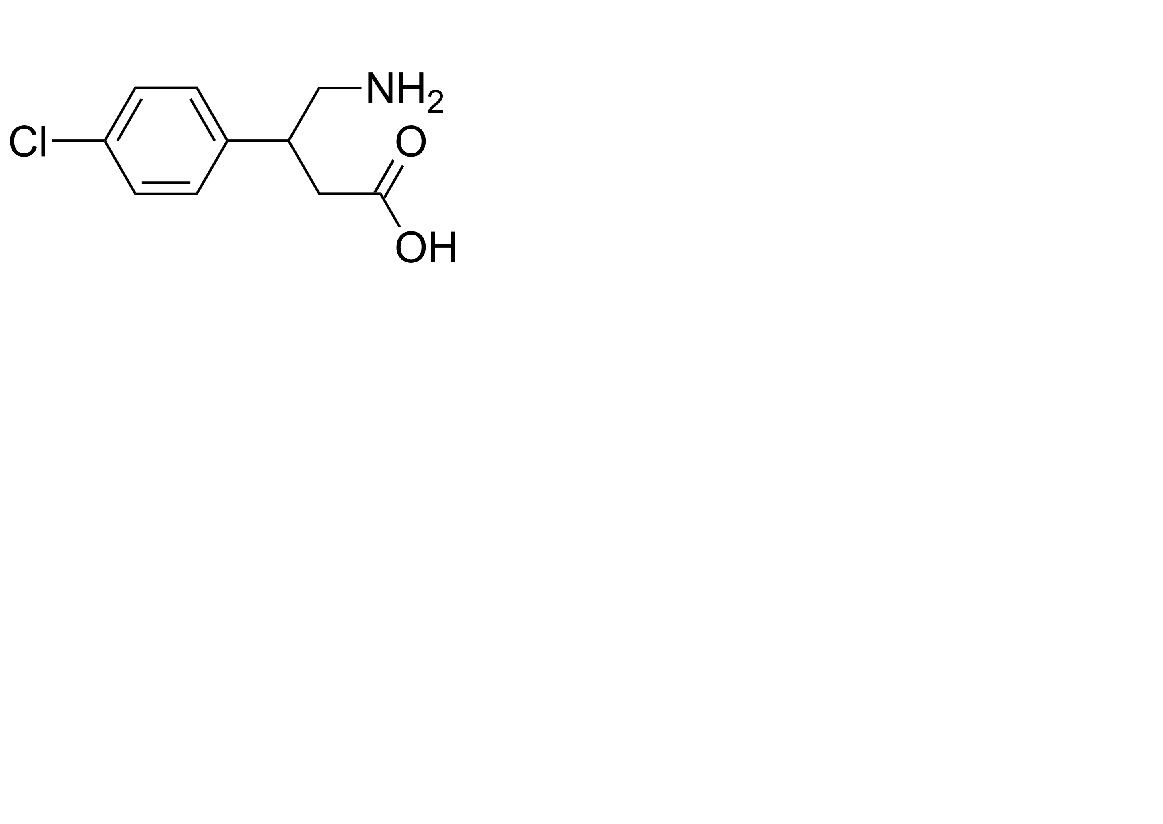
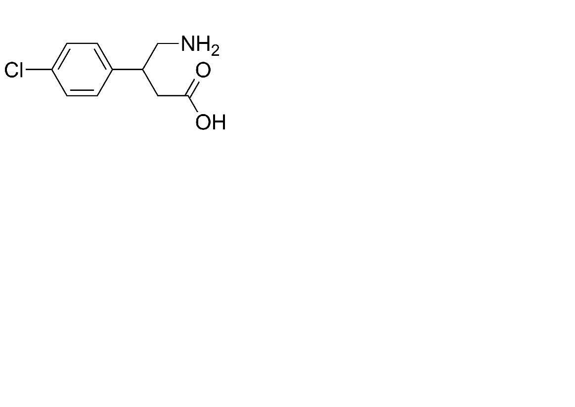
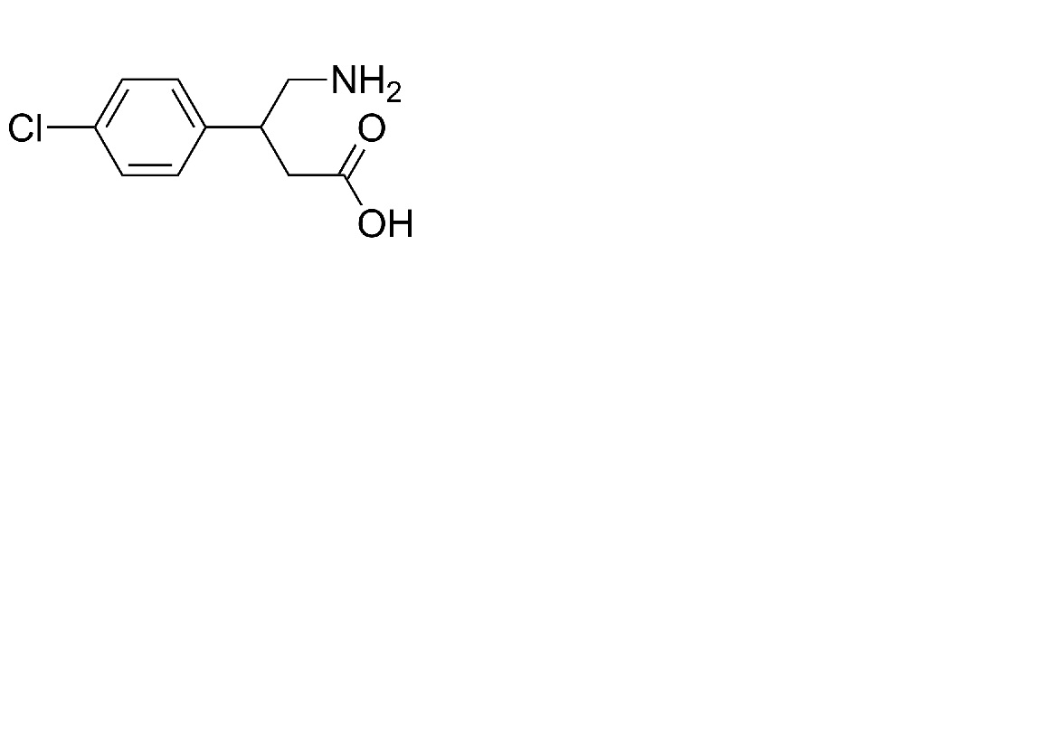
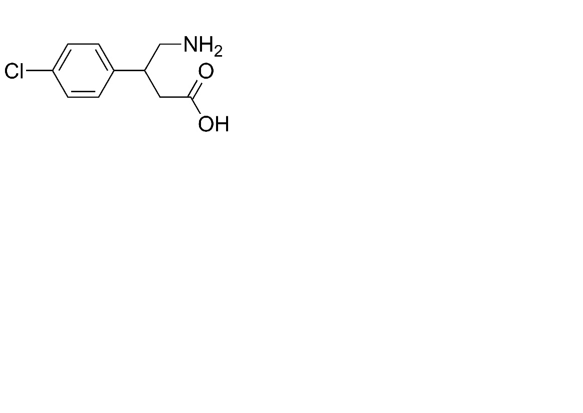
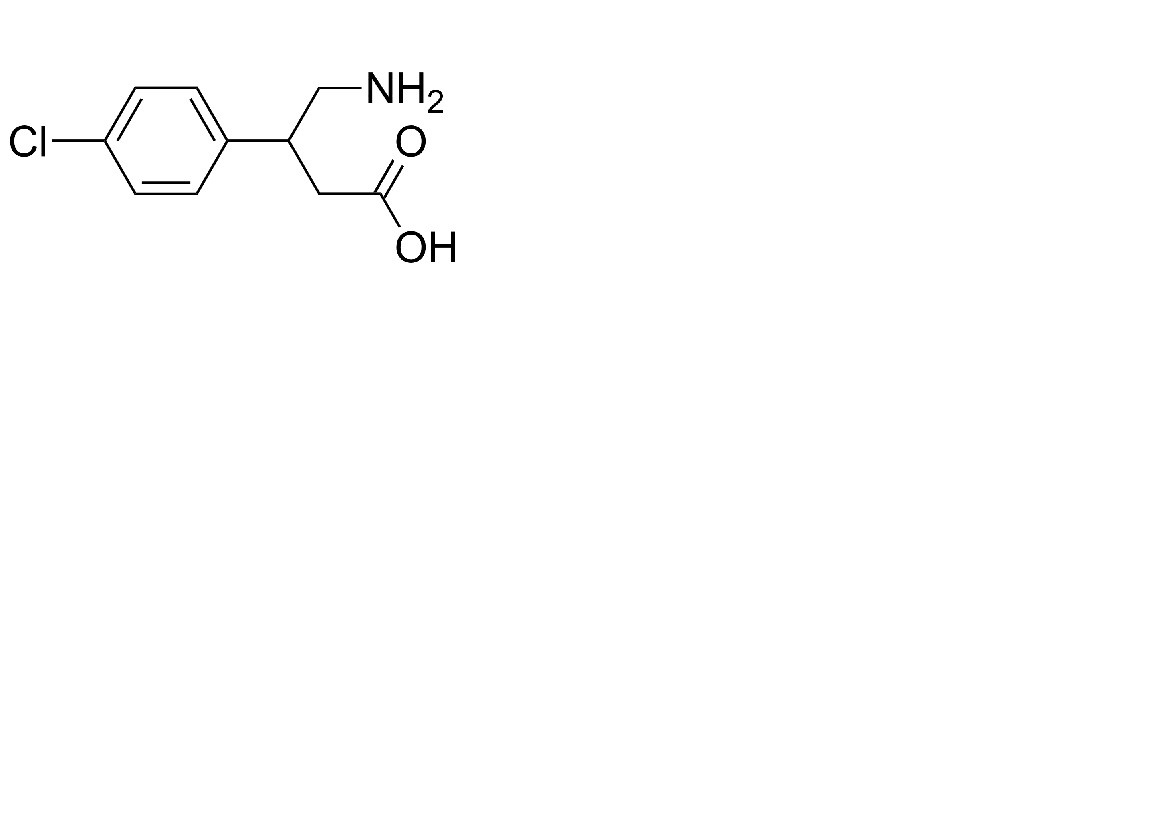
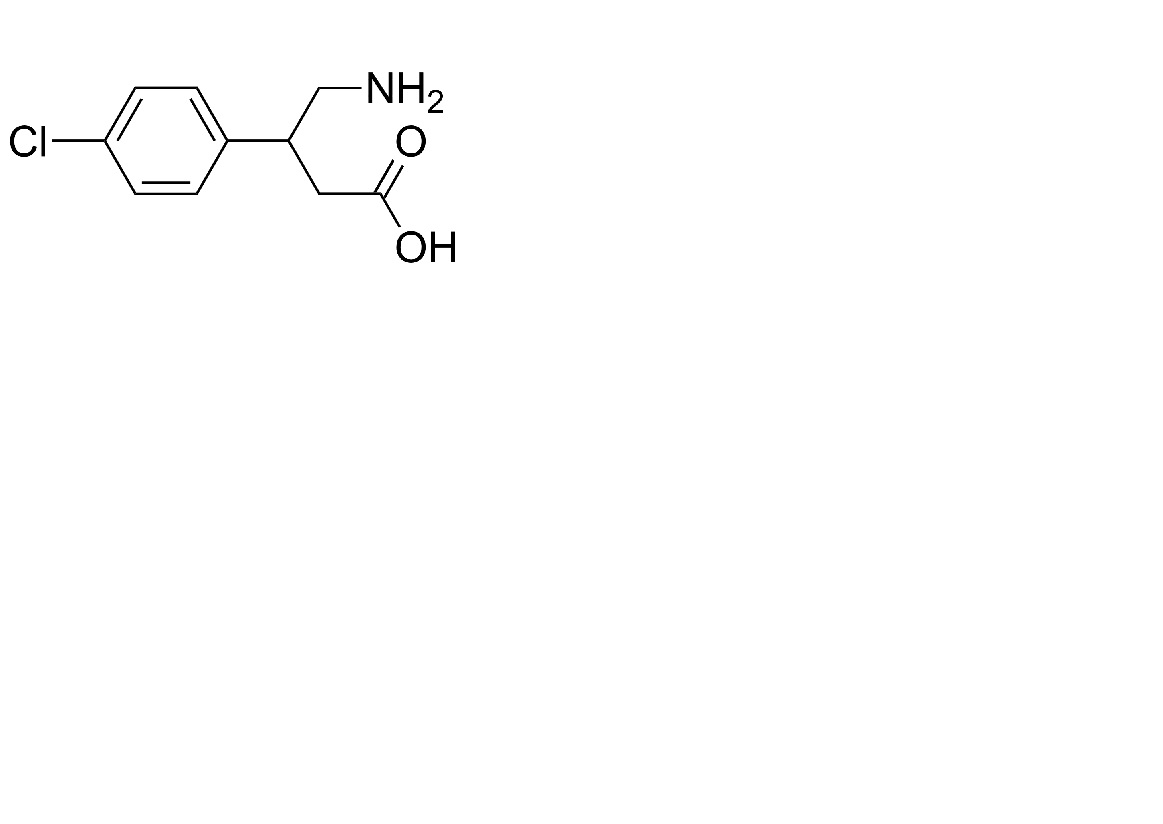
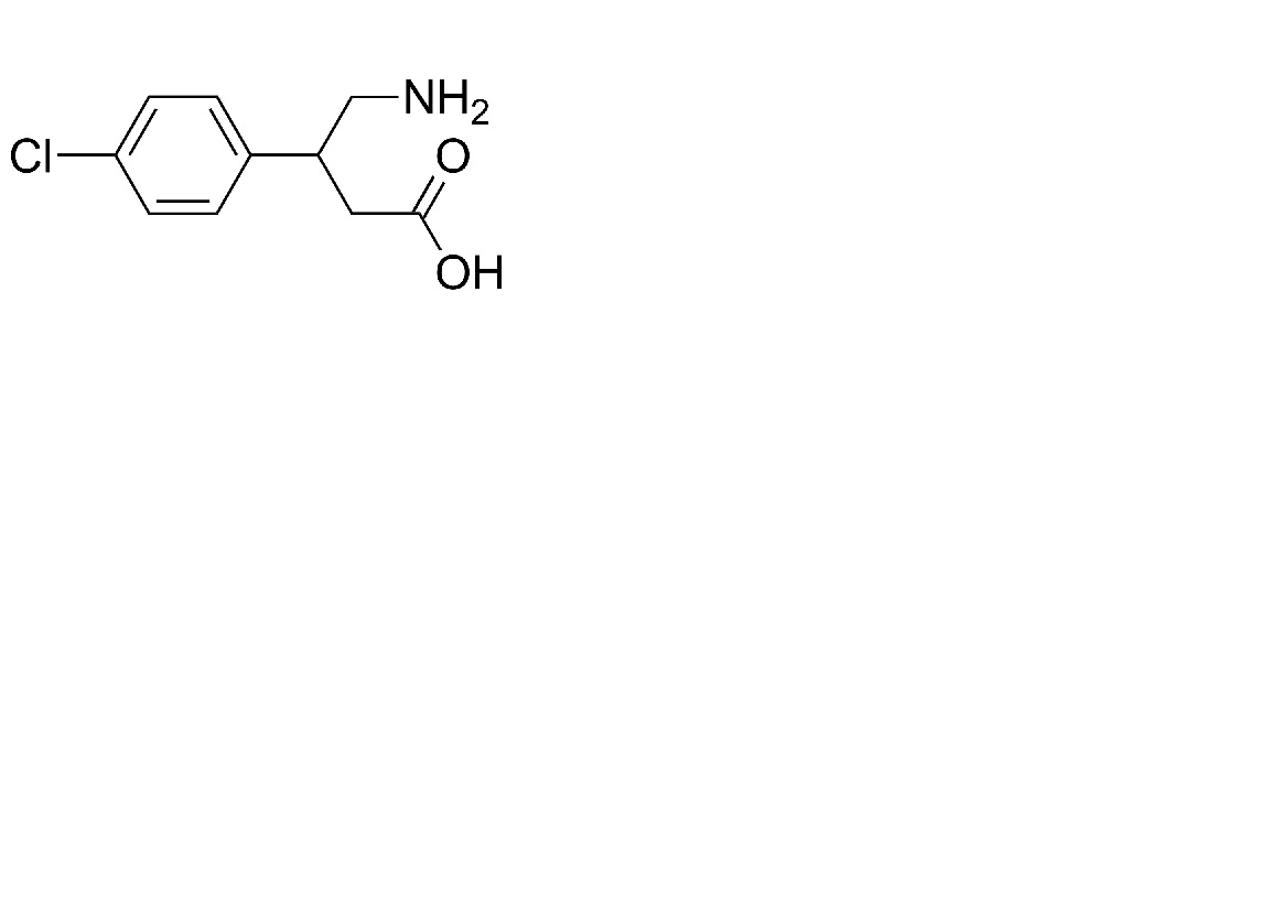
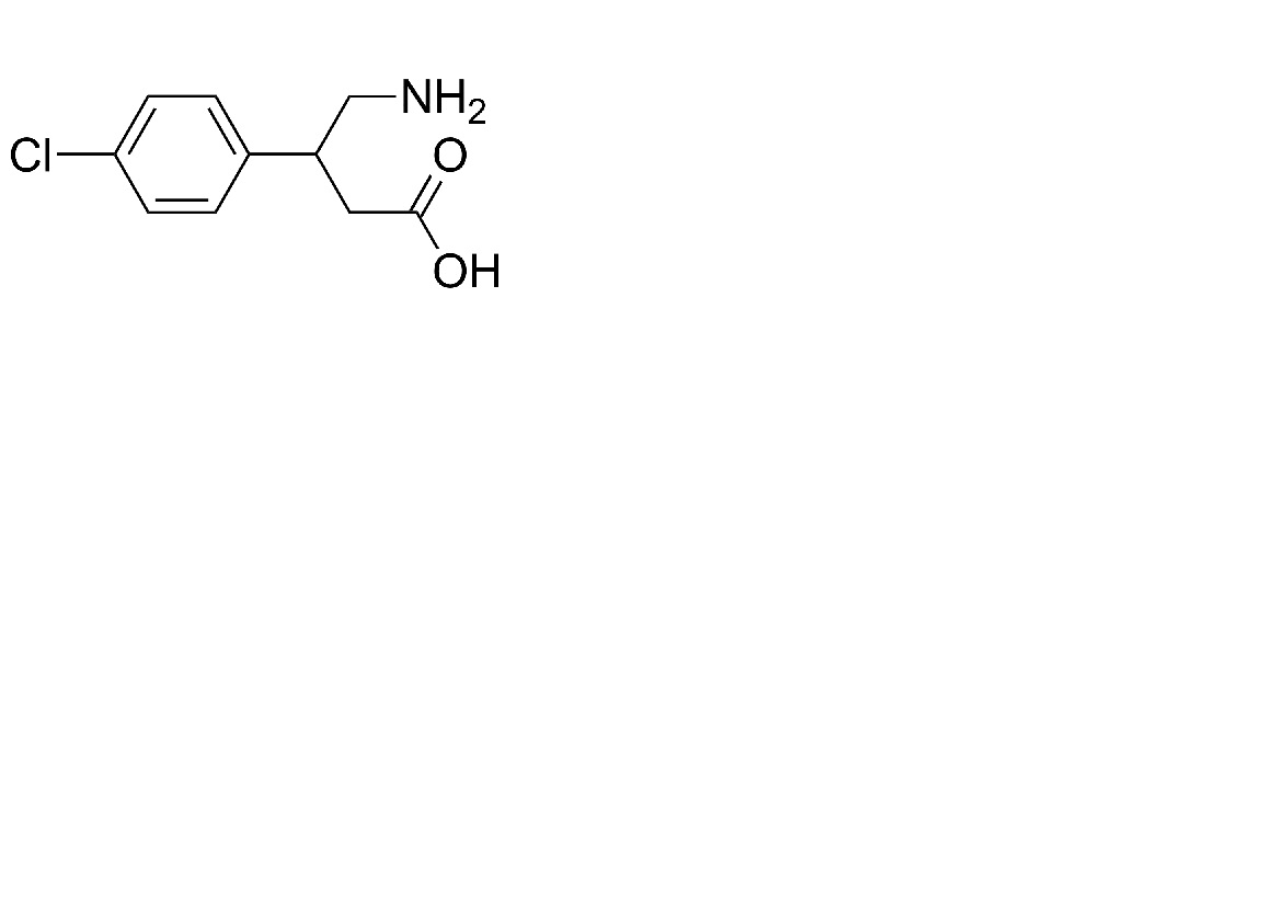
   Formula chimica  

Soluţie orală
Compatibilitate   Soluţie orală   Compatibilitate : Baclofen              
Absenta de date

  Mentions Légales