Última actualización :
18/03/2026
Varios   Baclofen  
Solución Oral
Inyectables Preparaciones tópicas
La estabilidad de las preparaciones farmacéuticas Estabilidad en mezcla Factores que influyen sobre la estabilidad Compatibilidades Bibliografía pdf
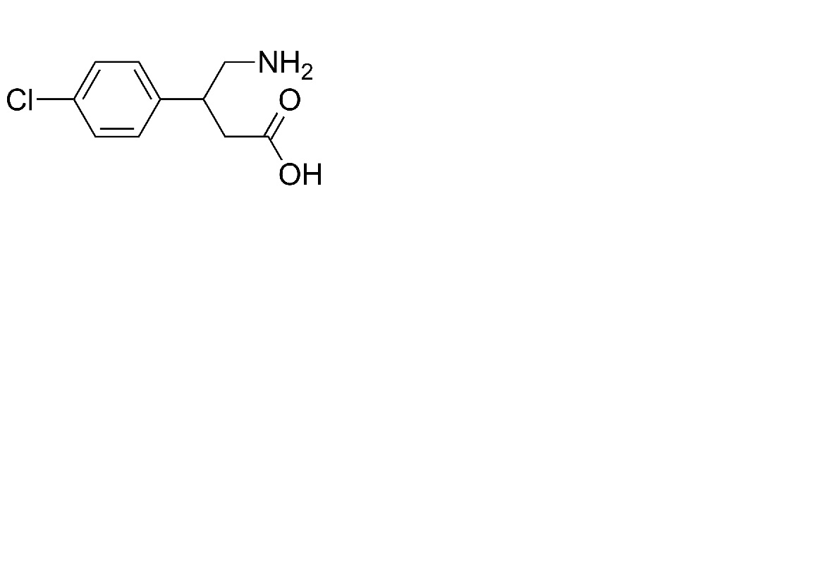
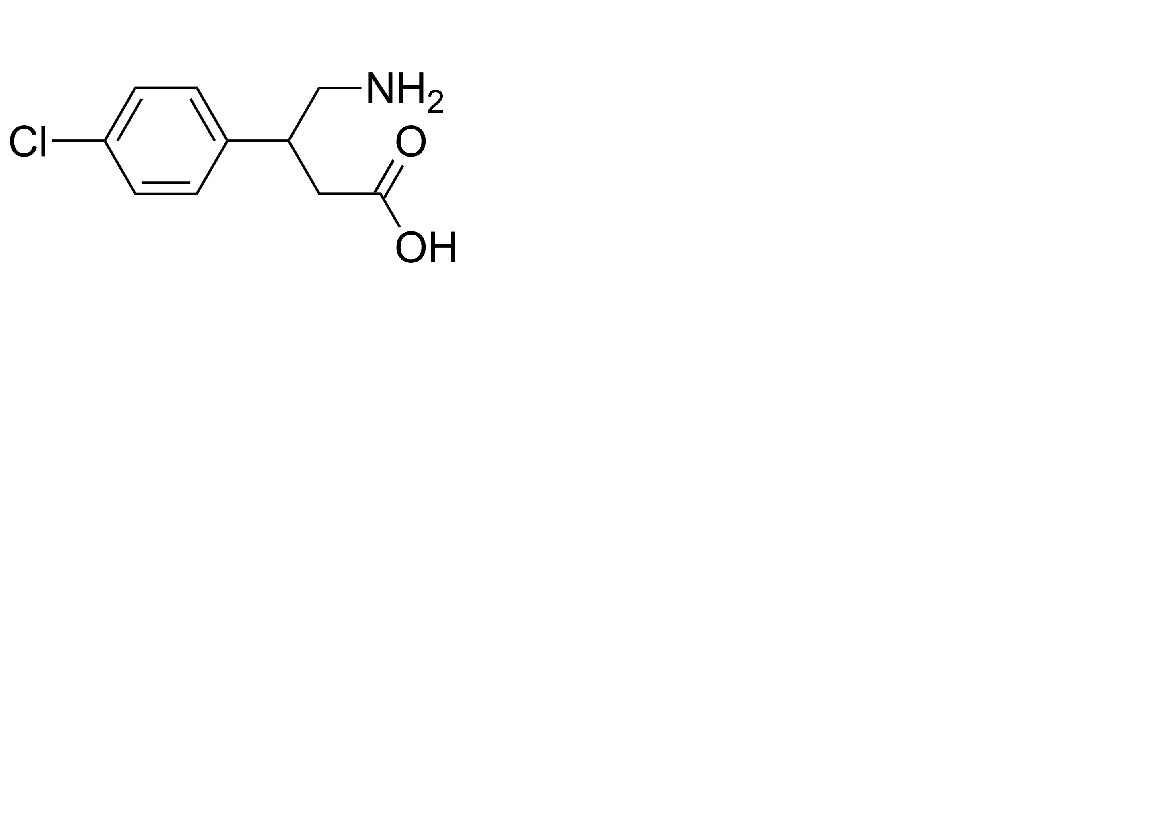
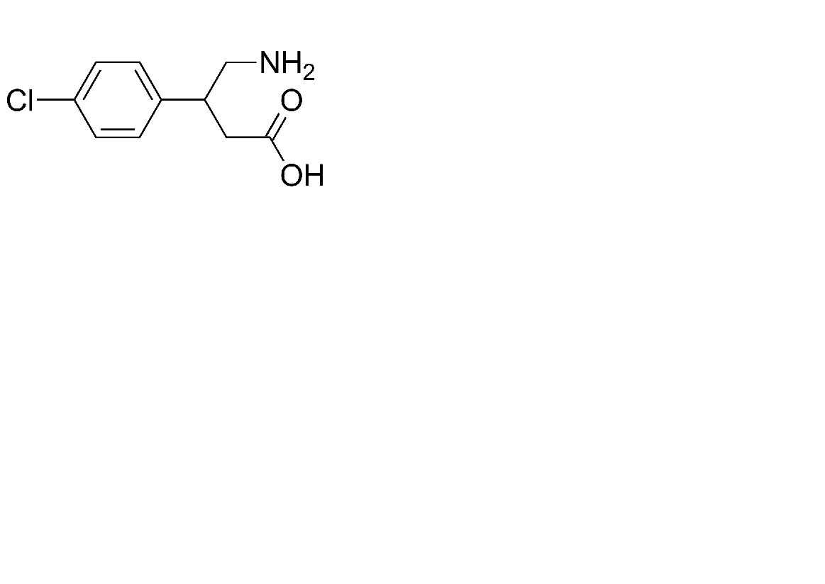
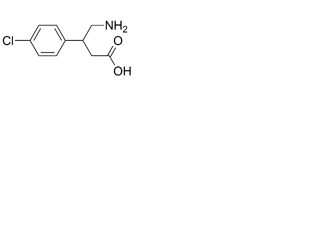
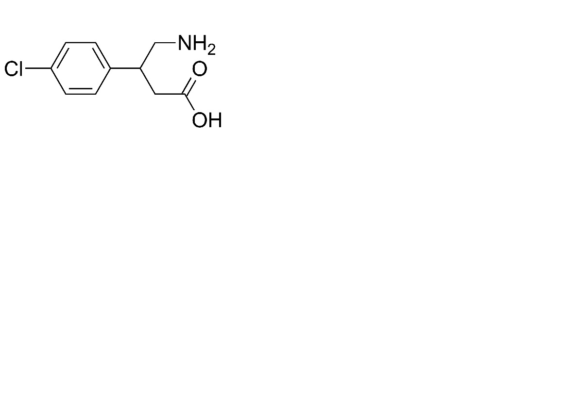
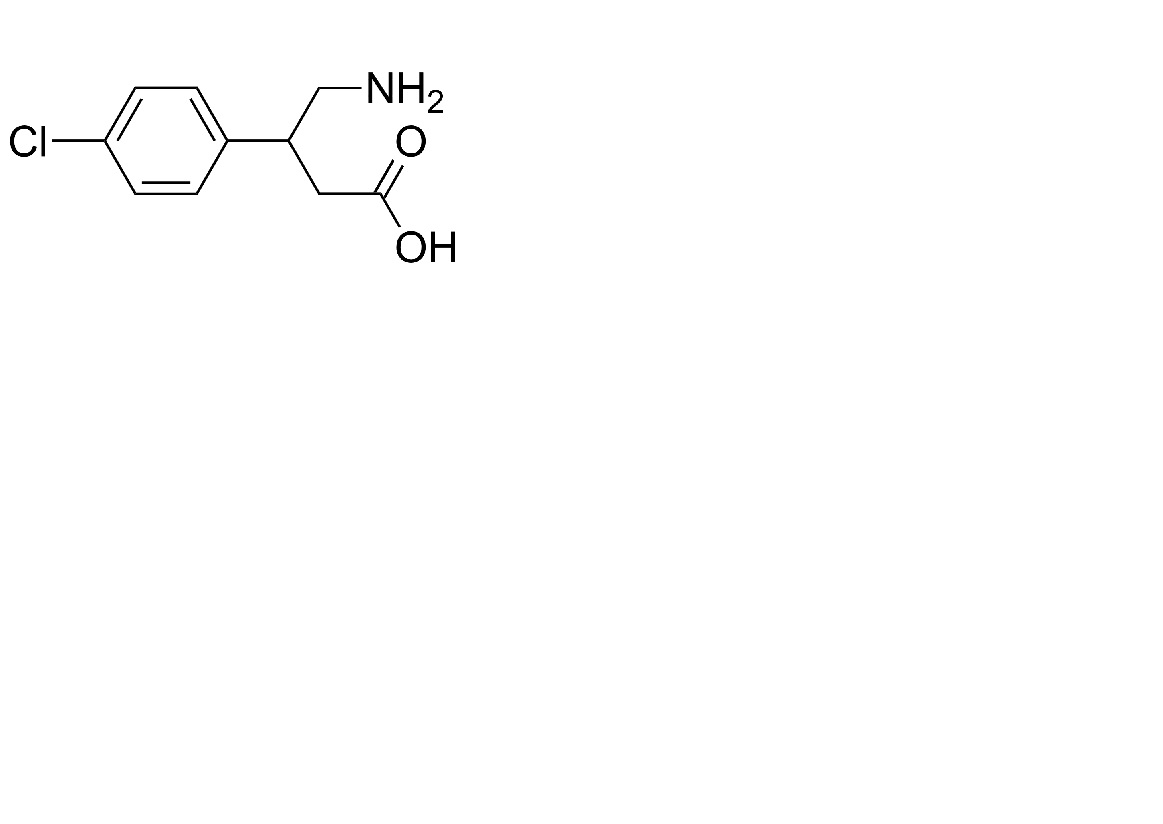
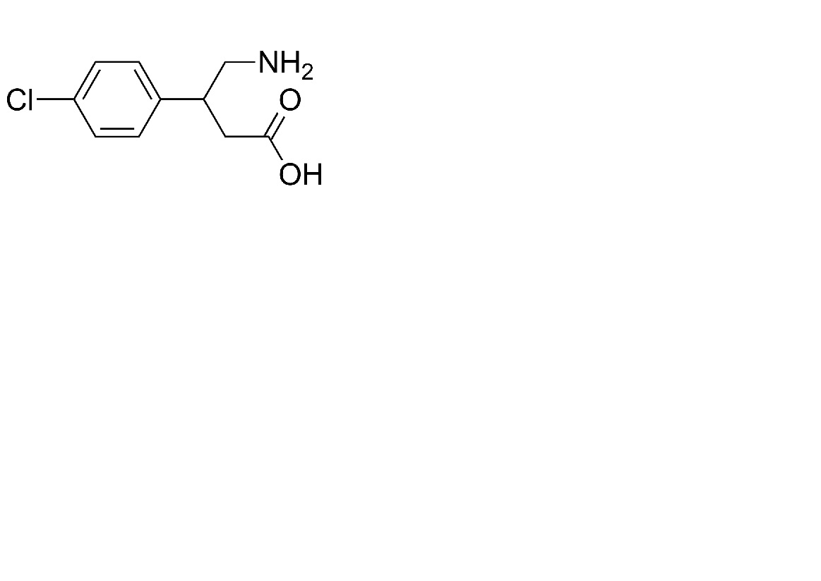
   Estructura química  

Solución Oral
Compatibilidades   Solución Oral   Compatibilidades : Baclofen              
Ausencia de datos

  Mentions Légales