Zadnji put ažurirano :
18/03/2026
razno   Baclofen  
oralna otopina
injekcija masti
Stabilnost farmaceutskih pripravaka Stabilnost mješavine Stabilizacijski faktor Kompatibilnosti Bibliografija pdf
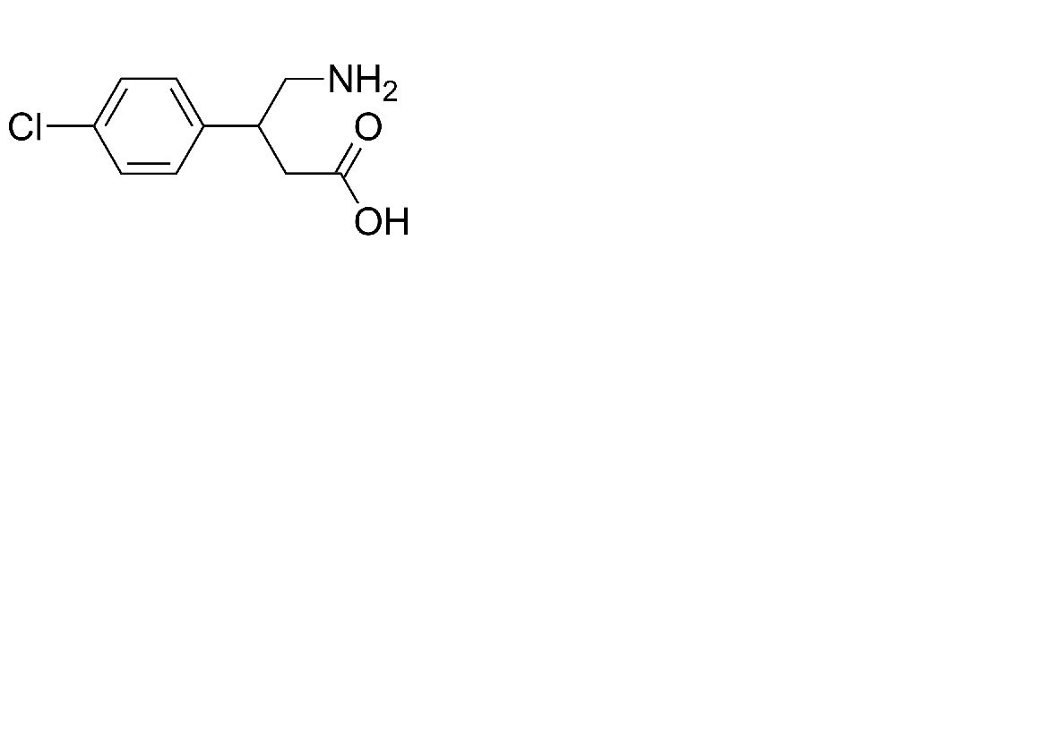
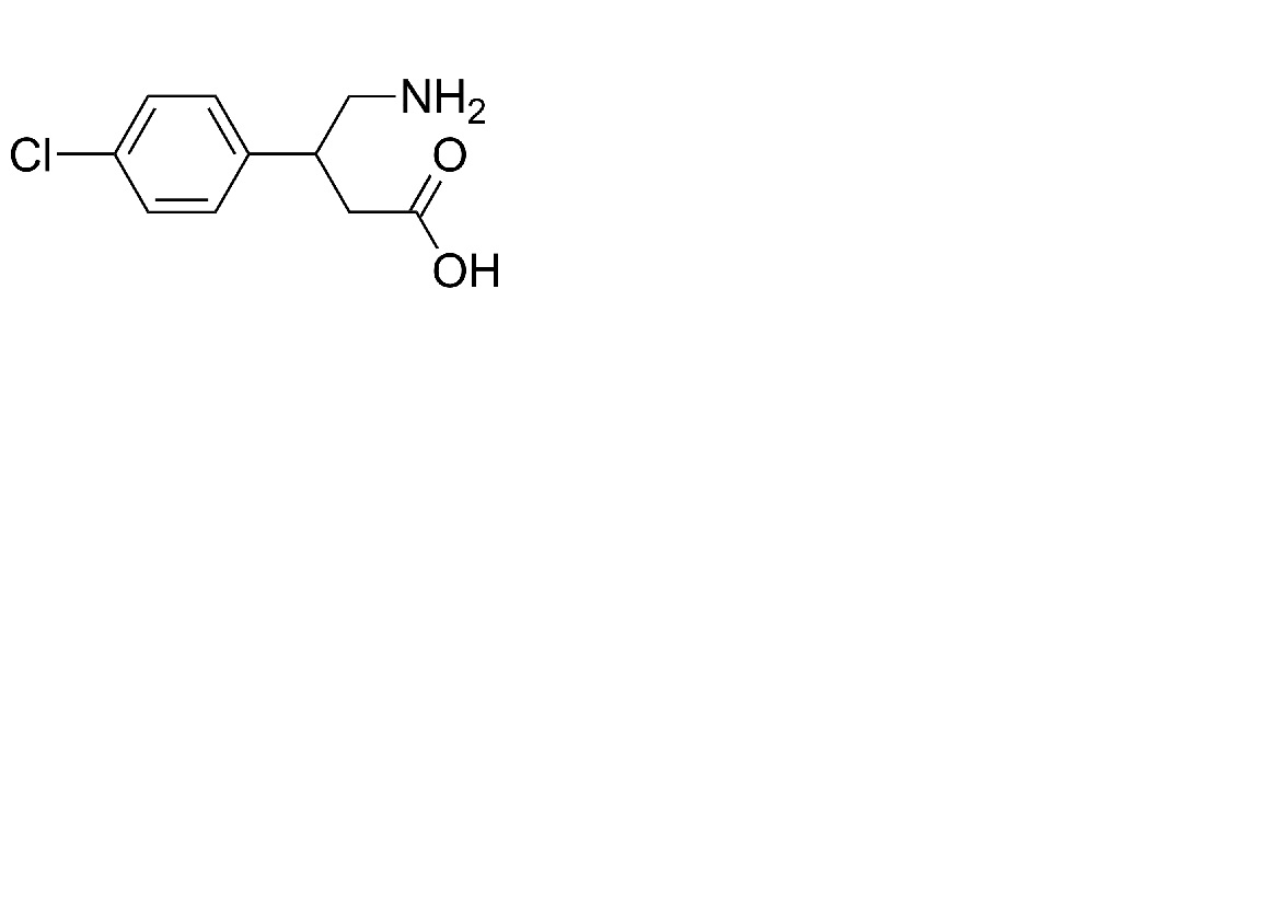
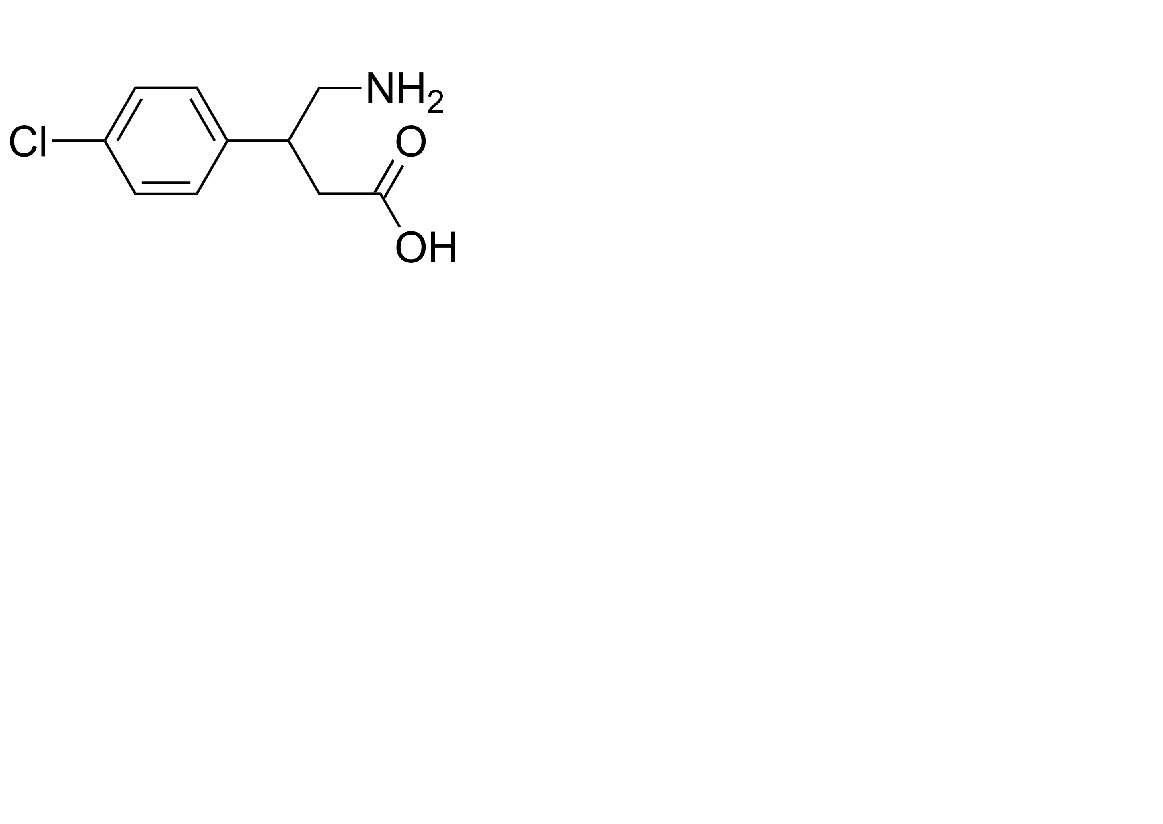
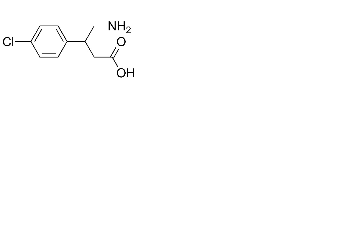
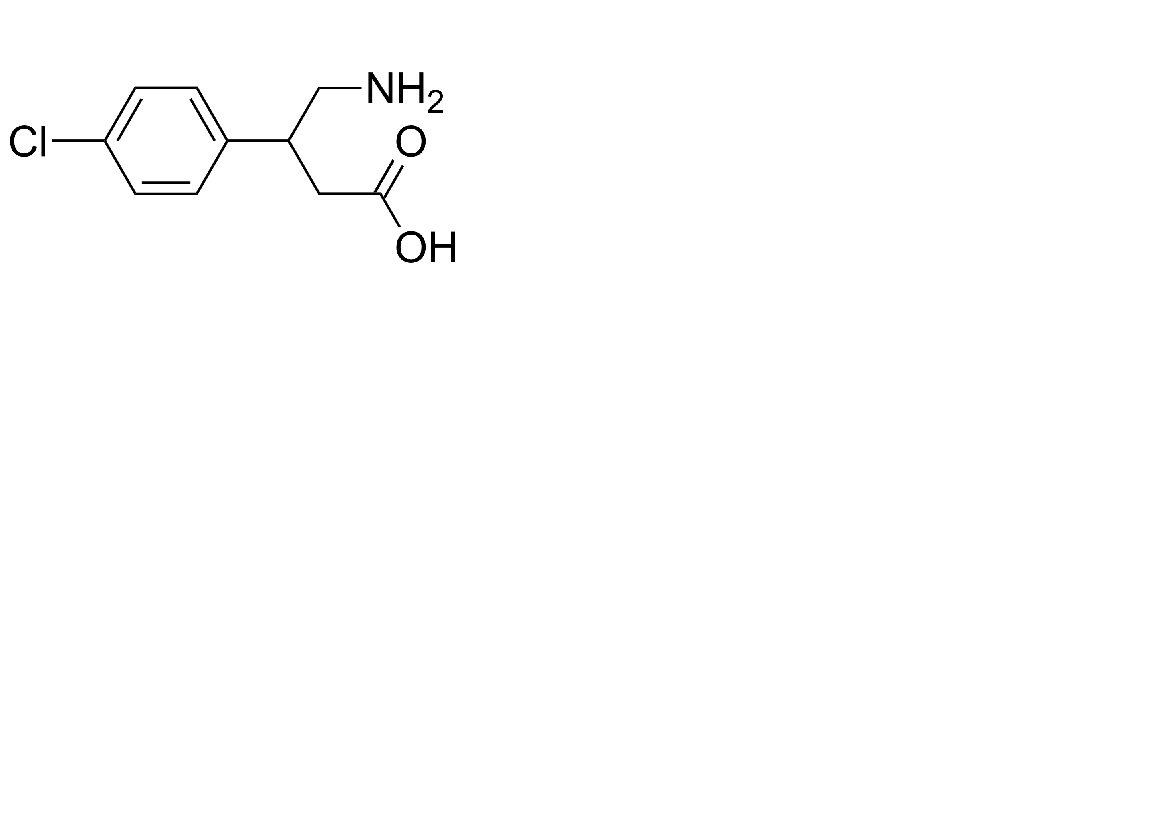
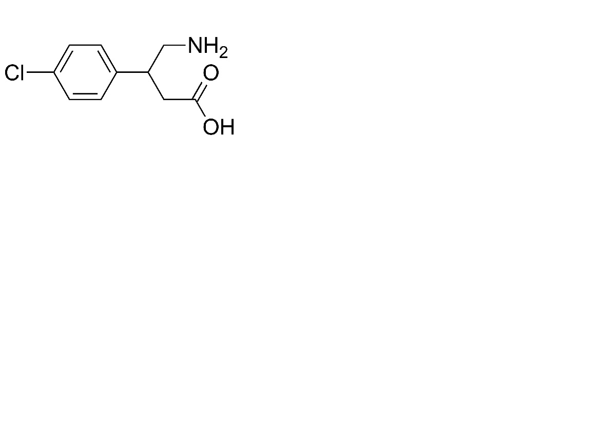
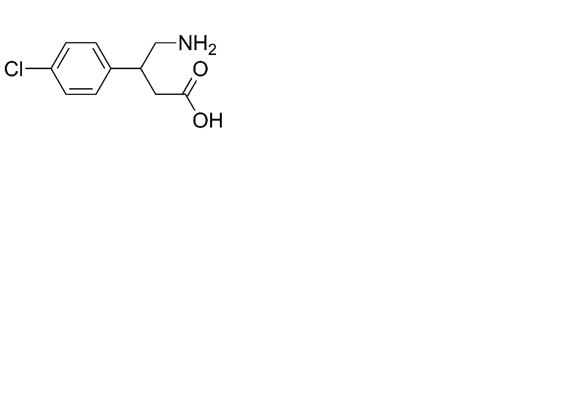
   Kemijska struktura  

oralna otopina
Kompatibilnosti   oralna otopina     Kompatibilnosti : Baclofen              
bez podataka

  Mentions Légales