Siste oppdatering :
18/03/2026
Forskjellig   Baclofen  
Mikstur
Injeksjon Salver
Stabilitet av farmasøytiske preparater Stabilitet i blandinger Faktorer som påvirker stabiliteten Kompatibilitet Referanser pdf
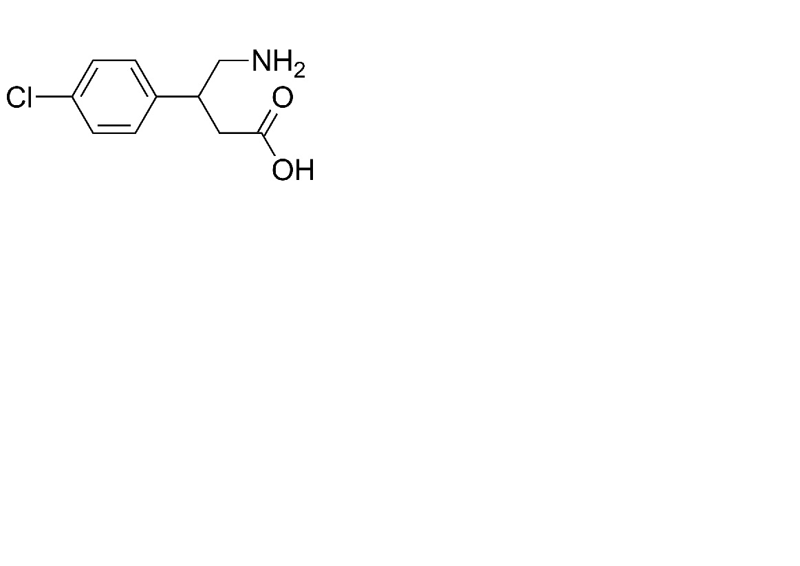
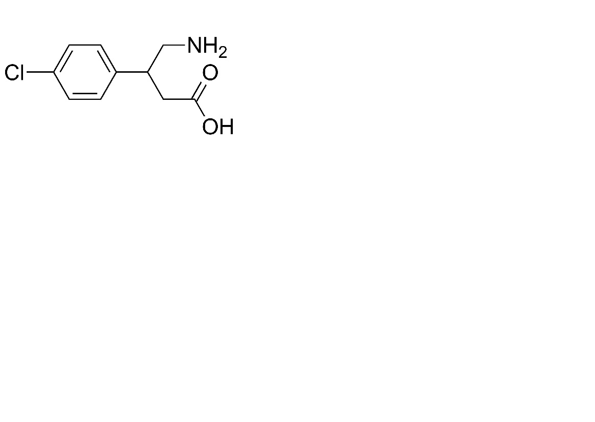
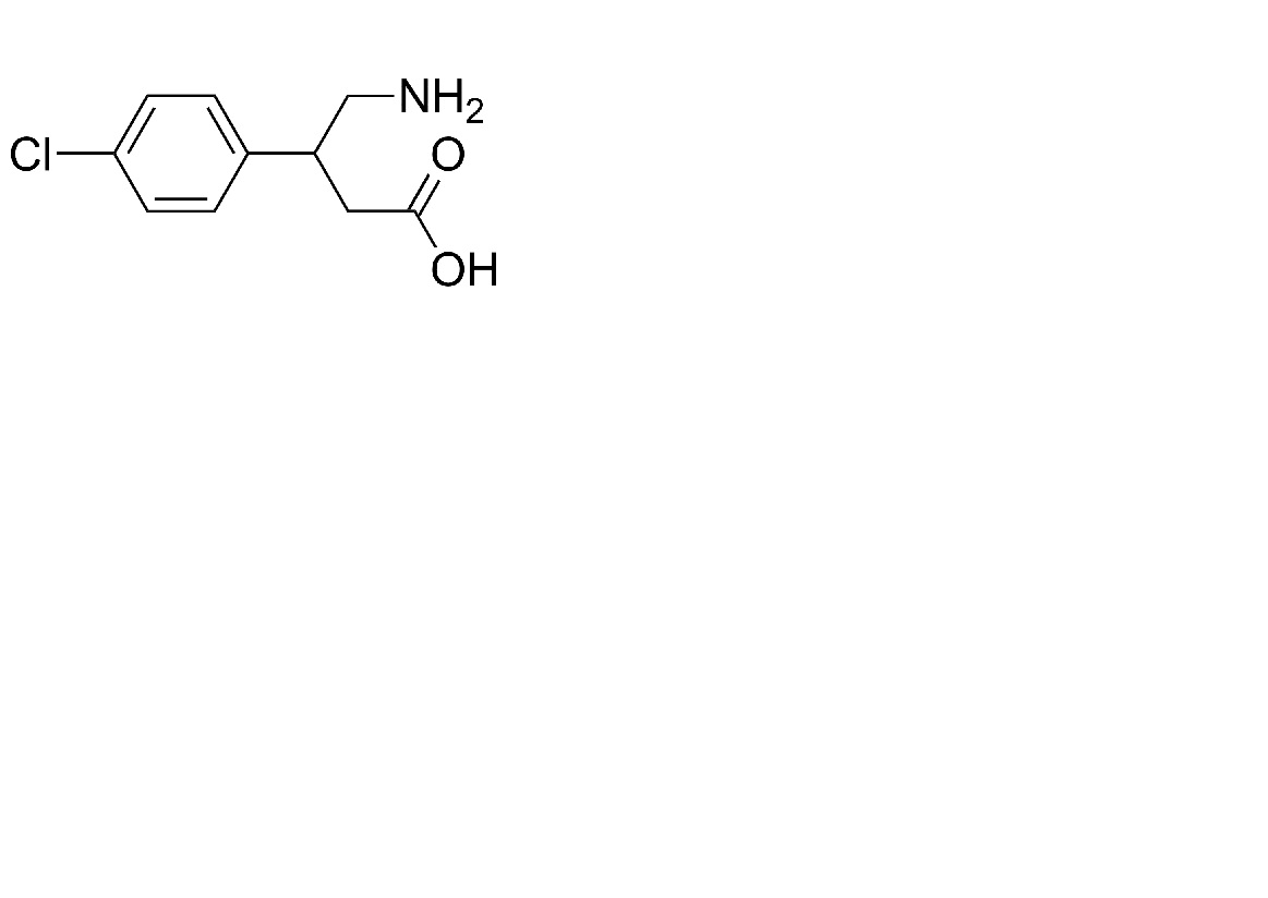
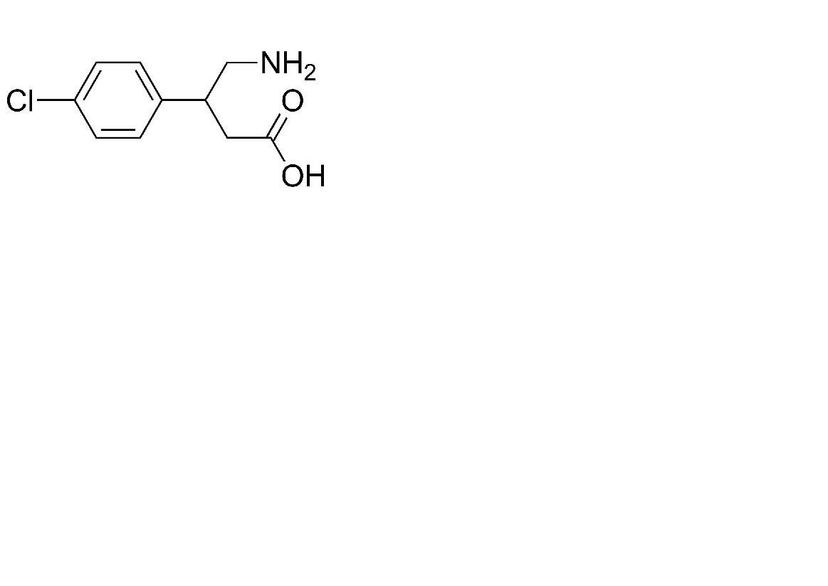
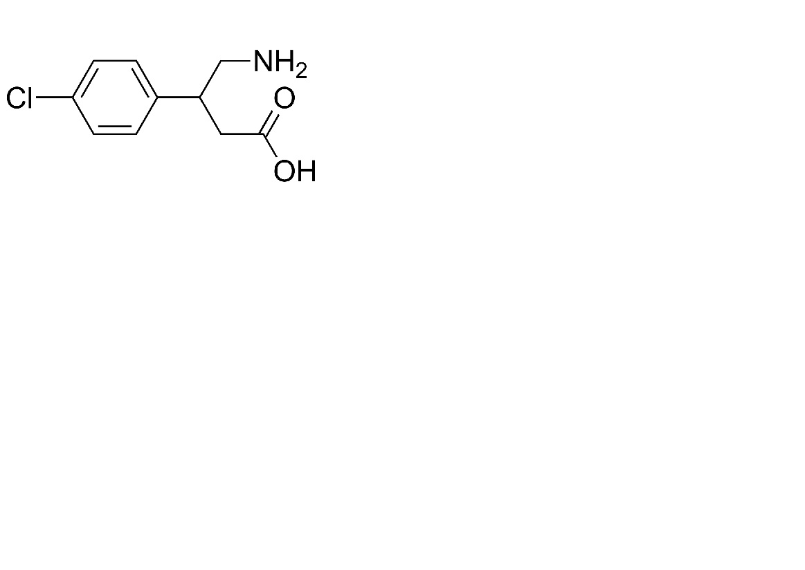
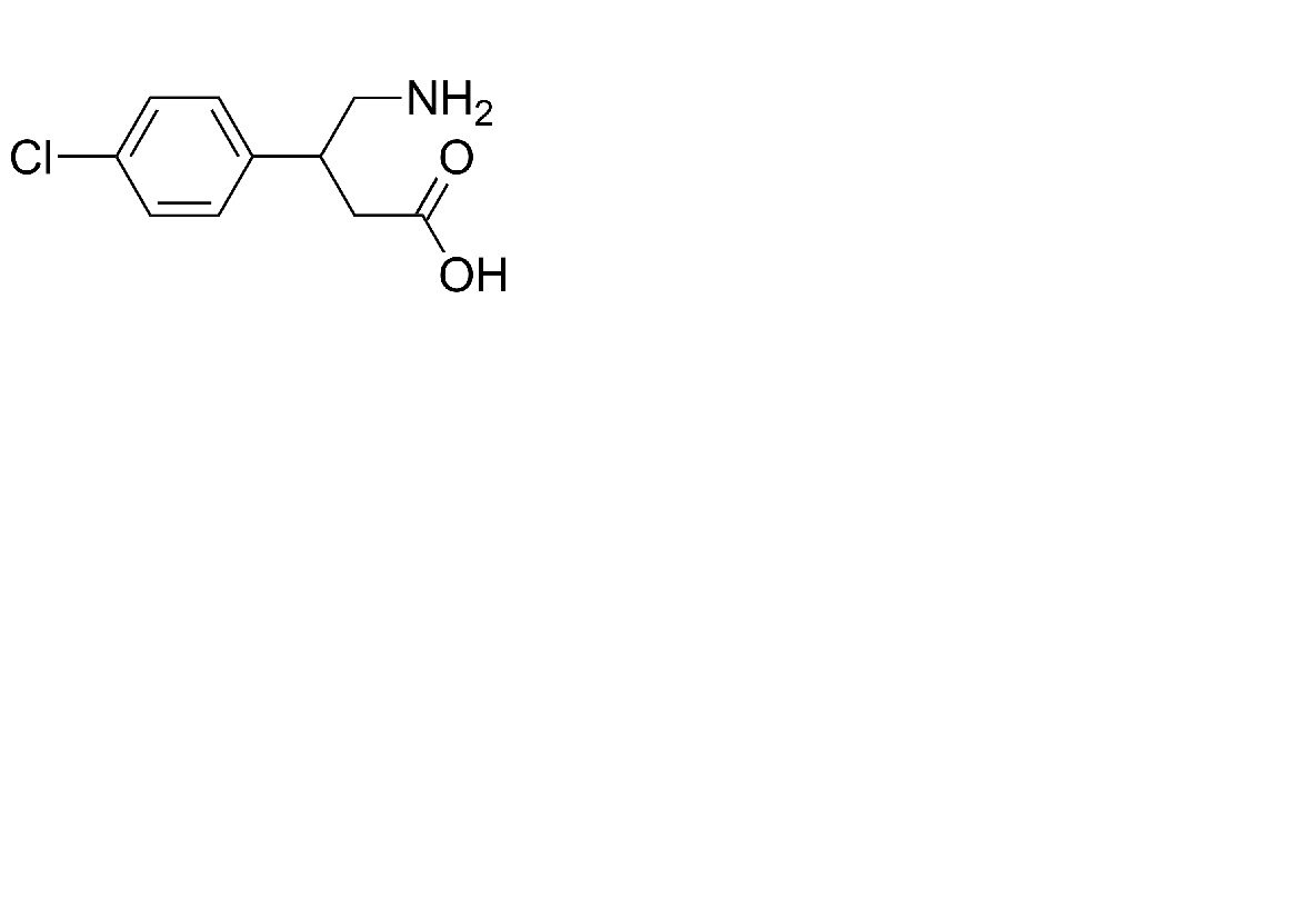
   Kjemisk struktur  

Mikstur
Kompatibilitet   Mikstur   Kompatibilitet : Baclofen              
Ingen opplysninger

  Mentions Légales