Viimeisin päivitys :
18/03/2026
Muut   Baclofen  
Oraaliliuos
Injektioneste Salvat
Vakaus lääkevalmisteen Stabilius seoksissa Tekijät, jotka vaikuttavat stabiliuteen Yhteensopivuus Viitteet pdf
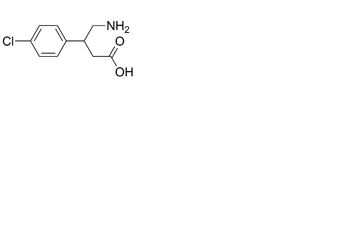
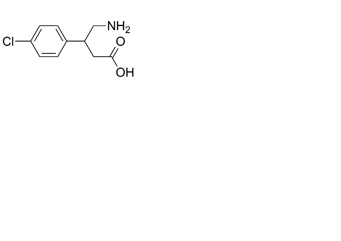
   Kemiallinen rakenne  

Oraaliliuos
Yhteensopivuus   Oraaliliuos   Yhteensopivuus : Baclofen              
ei tietoa

  Mentions Légales