Poslední aktualizace :
18/03/2026
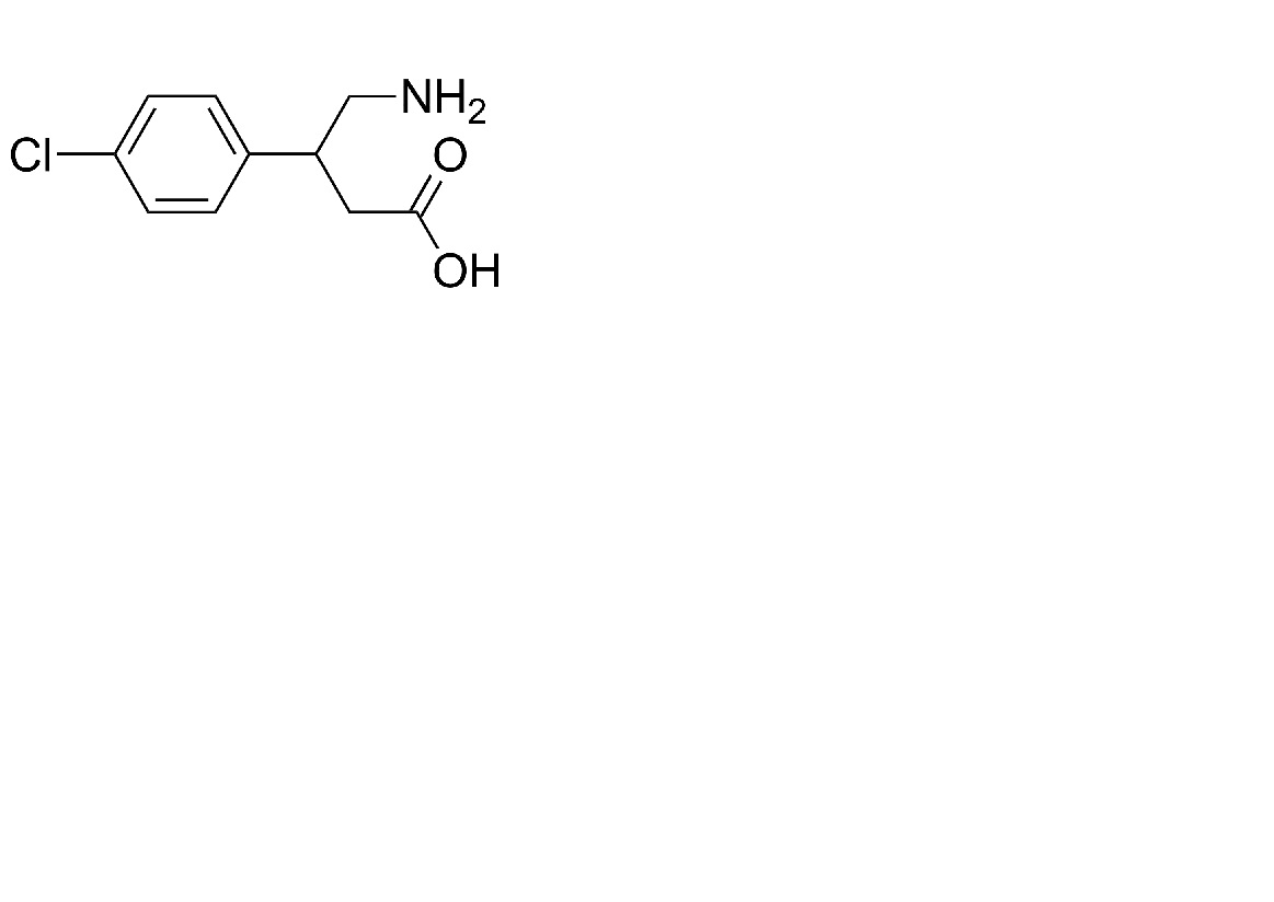
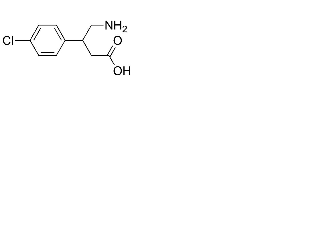
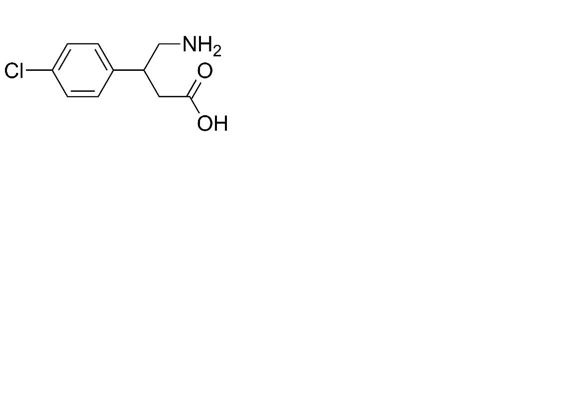
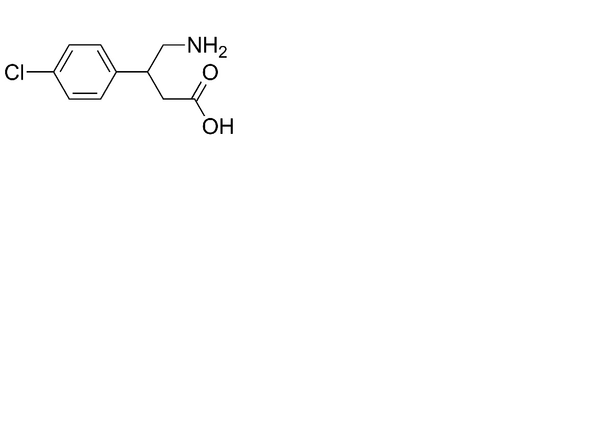
Různé   Baclofen  
Perorální roztok
injekce Masti
Stabilita farmaceutických přípravků Stabilita směsí Faktory ovlivňující stabilitu Kompatibilita Odkazy pdf
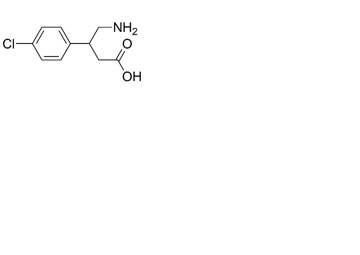
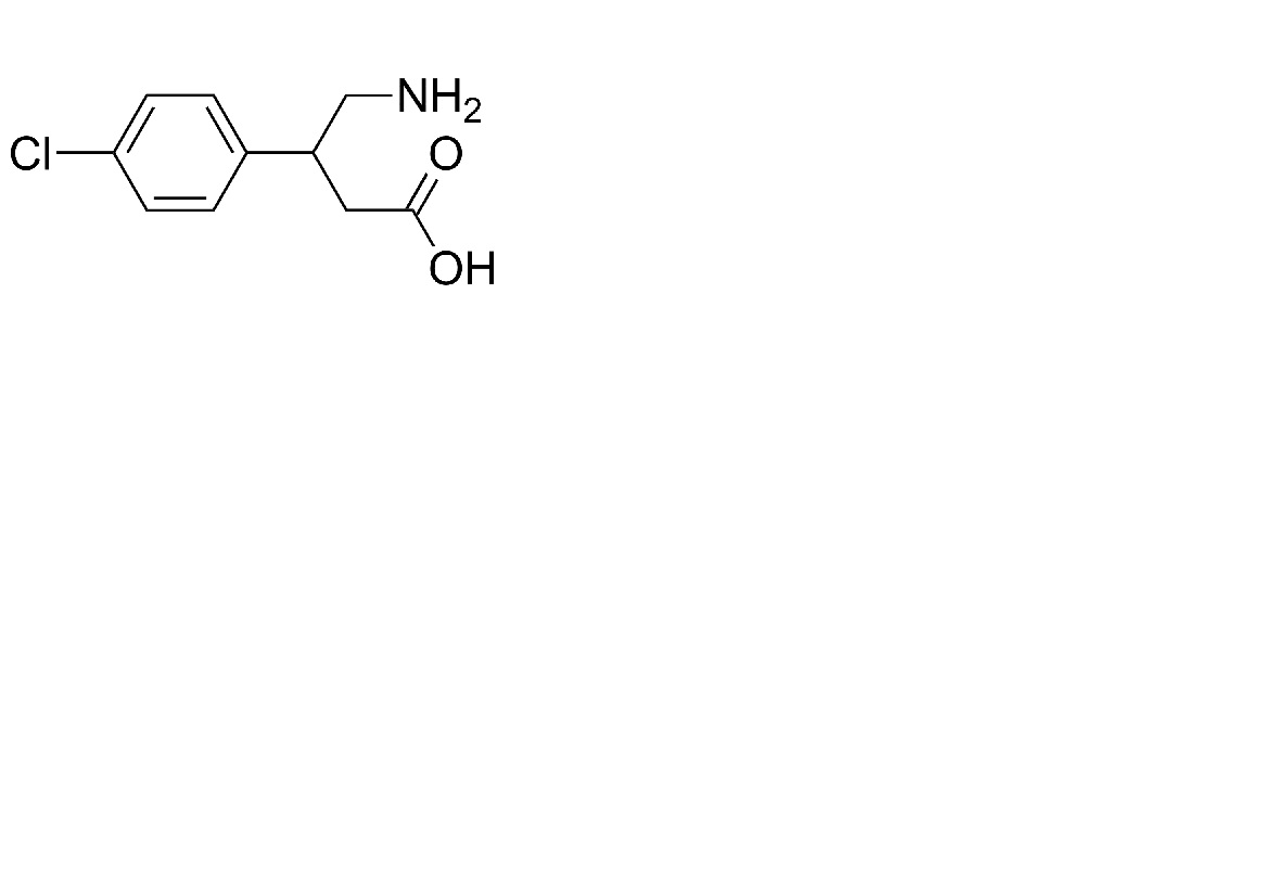
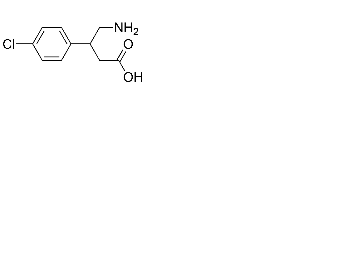
   Chemický vzorec  

Perorální roztok
Kompatibilita   Perorální roztok   Kompatibilita : Baclofen              
žádná data

  Mentions Légales