Son güncelleme :
18/03/2026
Proton pompası inhibitörü   Omeprazole sodium  
Oral solüsyon / oral çözelti
Enjeksiyon
Farmasötik preparatlar Kararlılığı Karışımlardaki stabilitesi Stabiliteyi etkileyen faktörler Uyumluluk Kaynaklar pdf
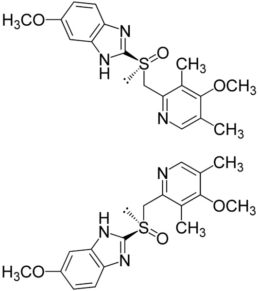
   Kimyasal yapı   

Oral solüsyon / oral çözelti
Uyumluluk   Oral solüsyon / oral çözelti   Uyumluluk : Omeprazole sodium              
veri yok

  Mentions Légales