Posledná aktualizácia :
18/03/2026
inhibítor protónovej pumpy   Omeprazole sodium  
Perorálny roztok
Injekcia
Stabilita farmaceutických prípravkov Stabilita v zmesiach Faktory ovplyvňujúce stabilitu Kompatibility Odkazy na literatúru PDF
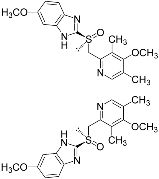
   Chemický vzorec  

Perorálny roztok
Kompatibility   Perorálny roztok   Kompatibility : Omeprazole sodium              
žiadne údaje

  Mentions Légales