Última actualización :
18/03/2026
Inhibidor de la bomba de protones   Omeprazole sodium  
Solución Oral
Inyectables
La estabilidad de las preparaciones farmacéuticas Estabilidad en mezcla Factores que influyen sobre la estabilidad Compatibilidades Bibliografía pdf
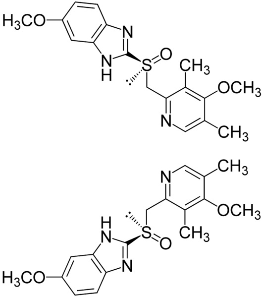
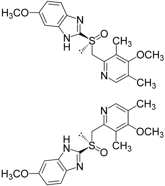
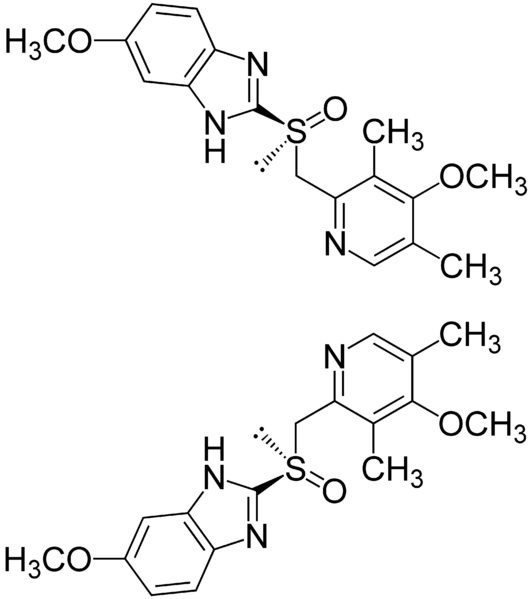
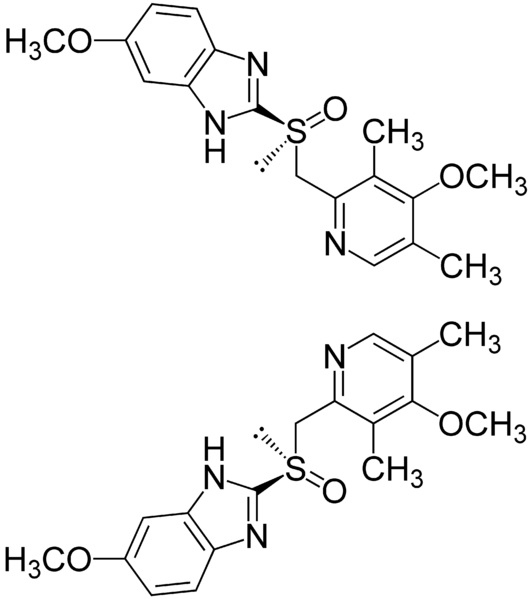
   Estructura química  

Solución Oral
Compatibilidades   Solución Oral   Compatibilidades : Omeprazole sodium              
Ausencia de datos

  Mentions Légales