Laatste update :
03/02/2026
Protonpompremmer   Omeprazole sodium  
Orale Oplossing
injecteerbaar geneesmiddel
Stabiliteit van farmaceutische preparaten Stabiliteit in mengsels Factoren die de stabiliteit beïnvloeden Verenigbaarheden Literatuur pdf
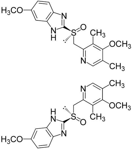
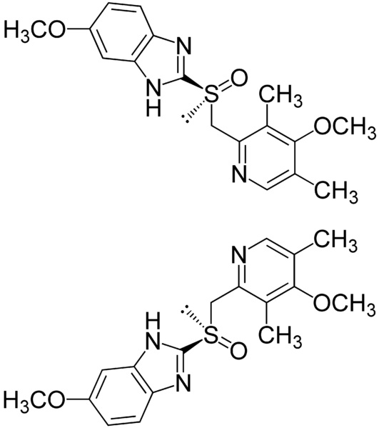
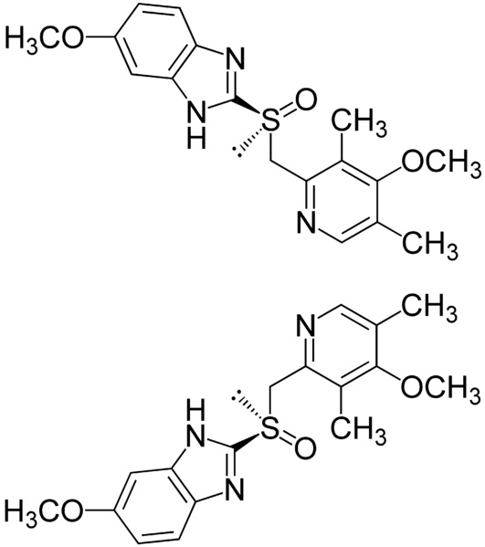
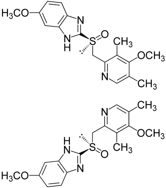
   Molecuulstructuur  

Orale Oplossing
Literatuur   Orale Oplossing   Literatuur : Omeprazole sodium  
type publicatie
2402 Artikel Burnett JE, Balkin ER.
Stability and viscosity of a flavored omeprazole oral suspension for pediatric use
Am J Health-Syst Pharm 2006 ; 63: 2240-2247.
2430 Artikel Quercia RA, Fan C, Liu X, Chow MS.
Stability of omeprazole in an extemporaneously prepared oral liquid
Am J Health-Syst Pharm 1997 ; 54: 1833-1836.
2546 Artikel DiGiacinto JL, Olsen KM, BergmanKL, Hoie EB.
Stability of suspension formulations of lansoprazole and omeprazole stored in amber-colored plastic oral syringes.
Ann Pharmacotherapy 2000 ;34:600-605.
2886 Artikel Garg S, Svirskis D, Al-Kabba M, Farhan S, Komeshi M, Lee J, Liu Q, Naidoo S.
Chemical Stability of Extemporaneously Compounded Omeprazole Formulations: A methods of compounding.
Int J Pharm Compound 2009 ; 13, 3: 250-253.
2980 Artikel Johnson CE, Cober MP, Ludwig JL.
Stability of partial doses of omeprazole-sodium bicarbonate oral suspension.
Ann Pharmacotherapy 2007 ; 41: 1954-1961.
3302 Artikel Whaley P A, Voudrie M A, Sorenson B.
Stability of Omeprazole in SyrSpend SF Alka (Reconstituted).
Int J Pharm Compound 2012 ; 16, 2 : 164-166.
3913 Artikel Polonini H.C, Silva S.L, Loures S, Almy R, Balland A, Brandao M.A.F, Ferreira A.O.
Compatibility of proton pump inhibitors in a preservative-free suspending vehicle.
EJHP 2018 ;25,3:150-156.
4360 Artikel Oriana Boscolo, Francesco Perra, Leandro Salvo, Fabiàn Buontempo, and Silvia Lucangioli.
Formulation and Stability Study of Omeprazole Oral Liquid Suspension for Pediatric Patients.
Hosp Pharm 2019
4388 Artikel Meissner S, Bansal M, Donamae P, Hanning S, Svirskis D.
The Effect of Manufacturer on the Compounding of Omeprazole Suspensions and Their Stability Assessment.
Int J Pharm Compound 2020 ;24,2:140-147
4683 Artikel Low M, Singh S, Venkataya B, Pearson J, Ibrahim M, Jarouche M, Khoo C, Rowe J, Li CG.
Stability of omeprazole in a commercial calcium carbonate based oral suspension at 2, 5 and 10 mg/mL stored under refrigeration (4°C) for 70 days
J Pharm Pract and Res 2022 2022; 52, 34-41
4766 Artikel Spennacchio A, Assunta Lopedota A, Maria la Forgia F, Fontana S, Denora N, Lopalco A.
Stability of omeprazole extemporaneous oral solution in Chopin Base.
Int J Pharm Compound 2023 ;27,3:250-255

  Mentions Légales