Dernière mise à jour :
18/03/2026
Inhibiteur de la pompe à proton   Omeprazole sodium  
Solution buvable
injectable
Stabilité des préparations Stabilité en mélange Facteur influençant la stabilité Compatibilités Bibliographie pdf
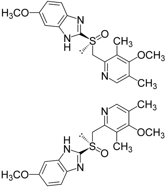
   Structure chimique  

Solution buvable
Compatibilités   Solution buvable   Compatibilités : Omeprazole sodium              
Aucune donnée

  Mentions Légales