Τελευταία ενημέρωση :
18/03/2026
Αναστολέας της αντλίας πρωτονίων   Omeprazole sodium  
Πόσιμο διάλυμα
Ενέσιμο
Σταθερότητα και συμβατότητα των φαρμάκων Σταθερότητα σε μίγματα Παράγοντας που επηρεάζει τη σταθερότητα Συμβατότητες Βιβλιογραφία pdf
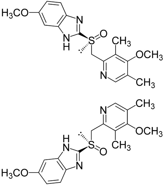
   χημική δομή  

Πόσιμο διάλυμα
Συμβατότητες    Πόσιμο διάλυμα   Συμβατότητες : Omeprazole sodium              
Δεν υπάρχουν πληροφορίες

  Mentions Légales