Pēdējā atjaunošana :
18/03/2026
Protonu pumpja inhibitors   Omeprazole sodium  
Orāls šķīdums
Injekcija
Stabilitāte farmaceitisko preparātu Maisījuma stabilitāte Stabilitāti ietekmējoši faktori Saderība Literatūras saraksts pdf
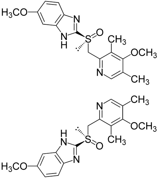
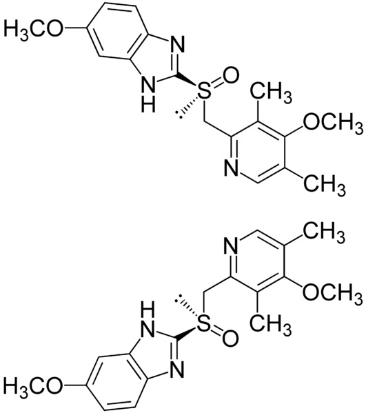
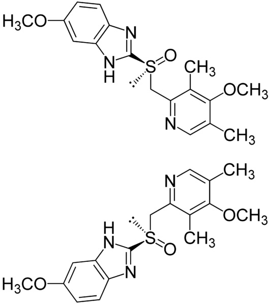
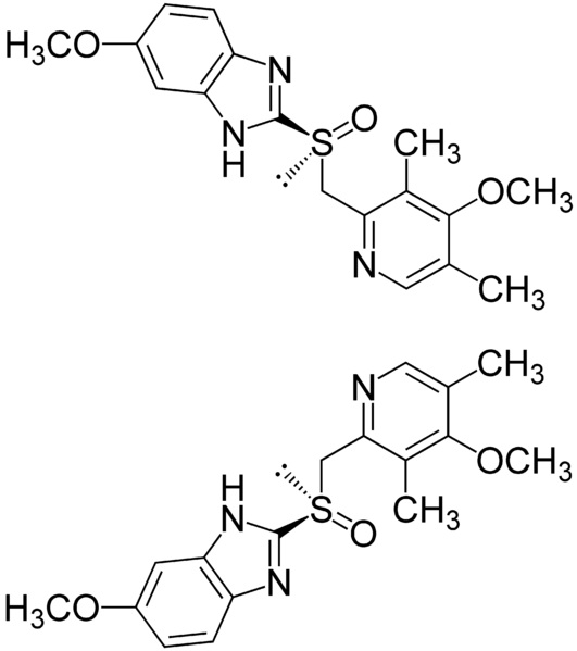
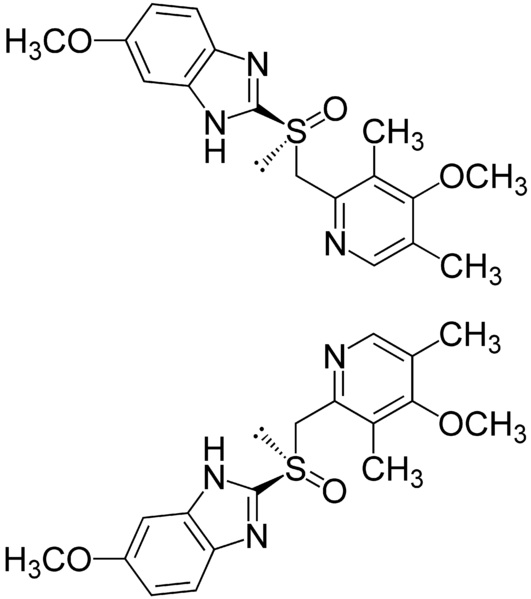
   Ķīmiskā uzbūve   

Orāls šķīdums
Saderība   Orāls šķīdums   Saderība : Omeprazole sodium              
Nav datu

  Mentions Légales