Poslední aktualizace :
18/03/2026
Inhibitor protonovÈ pumpy   Omeprazole sodium  
Perorální roztok
injekce
Stabilita farmaceutických přípravků Stabilita směsí Faktory ovlivňující stabilitu Kompatibilita Odkazy pdf
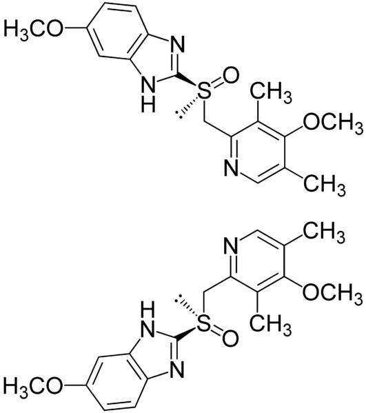
   Chemický vzorec  

Perorální roztok
Kompatibilita   Perorální roztok   Kompatibilita : Omeprazole sodium              
žádná data

  Mentions Légales