zadnja posodobitev :
18/03/2026
Zaviralec protonske črpalke   Omeprazole sodium  
Peroralna raztopina
Brizgalka
Stabilnost farmacevtskih preparatov Stabilnost mešanice Faktorji, ki vplivajo na stabilnost Kompatibilnost Viri pdf
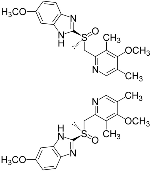
   Kemična formula  

Peroralna raztopina
Kompatibilnost   Peroralna raztopina   Kompatibilnost : Omeprazole sodium              
ni podatka

  Mentions Légales