Zadnji put ažurirano :
18/03/2026
Inhibitori protonske pumpe   Omeprazole sodium  
oralna otopina
injekcija
Stabilnost farmaceutskih pripravaka Stabilnost mješavine Stabilizacijski faktor Kompatibilnosti Bibliografija pdf
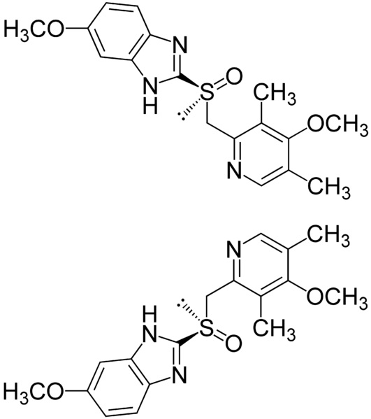
   Kemijska struktura  

oralna otopina
Kompatibilnosti   oralna otopina     Kompatibilnosti : Omeprazole sodium              
bez podataka

  Mentions Légales