Ultimele actualizari :
18/03/2026
Inhibitor al pompei de protoni   Omeprazole sodium  
Soluţie orală
Injectabil
Stabilitatea preparatelor farmaceutice Stabilitatea in amestec Factorii care influenteaza stabilitatea Compatibilitate Bibliografie pdf
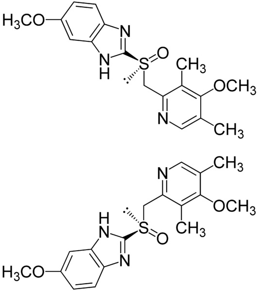
   Formula chimica  

Soluţie orală

Factorii care influenteaza stabilitatea   Soluţie orală   Factorii care influenteaza stabilitatea : Omeprazole sodium        
Absenta de date

  Mentions Légales