Utolsó frissítés :
18/03/2026
Proton-pumpa gátló   Omeprazole sodium  
belsőleges oldat
Injekció
Stabilitása gyógyszerészeti készítmények A keverékek stabilitása Stabilitást befolyásoló tényezők Kompatibilitás Irodalom pdf
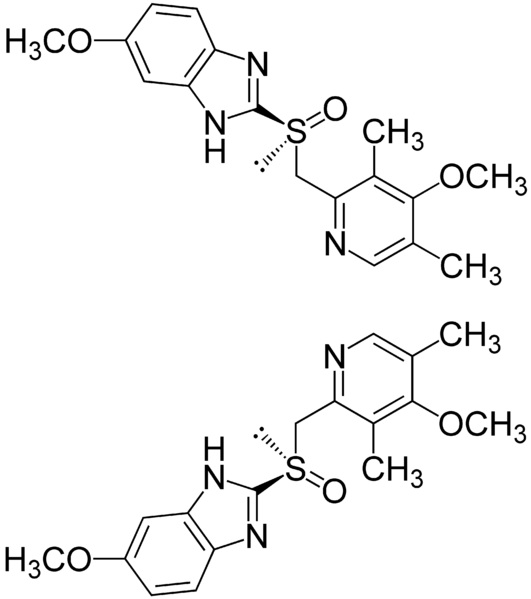
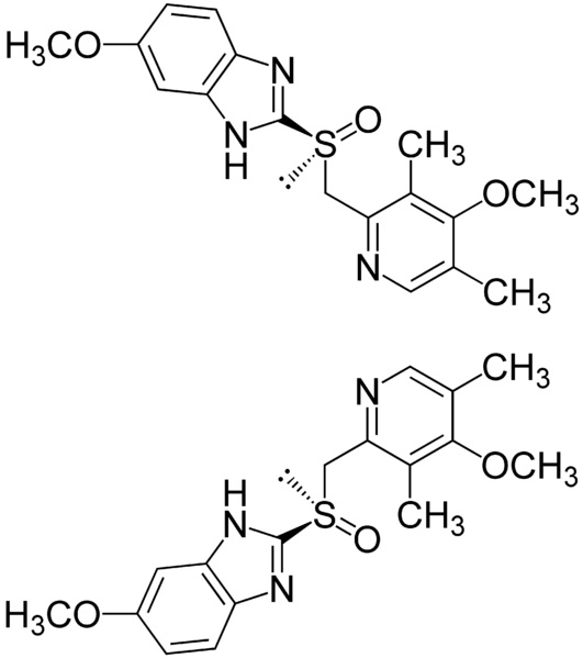
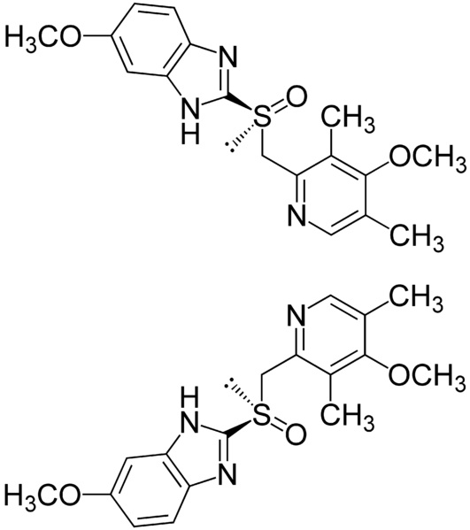
   Kémiai szerkezet   

belsőleges oldat
Kompatibilitás   belsőleges oldat   Kompatibilitás : Omeprazole sodium              
Hiányzó adat

  Mentions Légales