Son güncelleme :
27/01/2026
kanser ilaç   Dacarbazine  
Enjeksiyon
Çözeltilerin stabilitesi Karışımlardaki stabilitesi Stabiliteyi etkileyen faktörler Uyumluluk Uygulama yöntemi Kaynaklar pdf
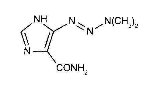
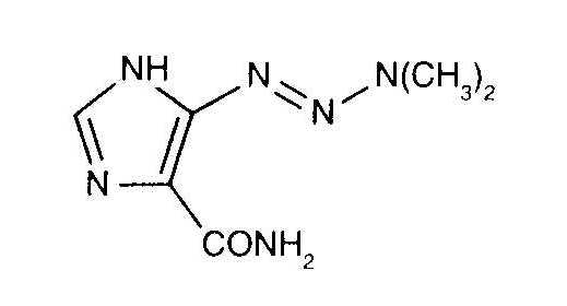
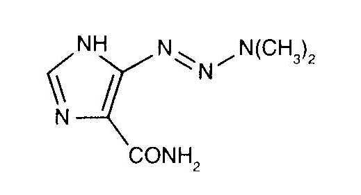
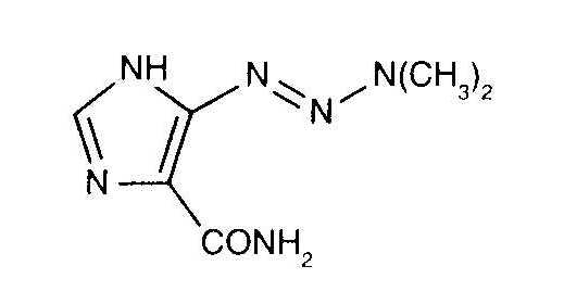
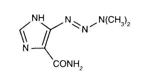
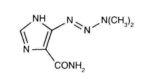
   Kimyasal yapı   

Ticari isim   Ticari isim     

Trade names are indicative and excipients composition can be different depending on the country and manufacturers

Acocarb Meksika
Celdaz Hindistan, Peru
Dabaz Brezilya, Hindistan
Dacarba Hindistan
Dacarbazin Avusturya, Macaristan, Malezya, Polonya
Dacarbazina Arjantin, Brezilya, Ekvador, İspanya, İtalya, Kolombiya, Meksika, Peru, Şili
Dacarbazine Amerika Birleşik Devletleri, Avustralya, Belçika, Büyük Britanya, Danimarka, Hindistan, İran, İrlanda, İsveç, Kanada, yeni Zelanda
Dacarex Hindistan
Dacarin Hindistan
Dacarpalm Peru
Dacarzine Hindistan
Dacin İsviçre, Slovenya
Dacmed Hindistan
Daracina Kolombiya
Deticene Fransa, Hollanda, Portekiz, Suudi Arabistan, Yunanistan
Detimedac Almanya, Kolombiya, Romanya, Tunus
DTIC Amerika Birleşik Devletleri, Avusturya, yeni Zelanda
Fauldetic Portekiz
Oncocarbil Arjantin, Ekvador, Peru
Tiferomed Meksika
Çözeltilerin stabilitesi   Enjeksiyon    Çözeltilerin stabilitesi : Dacarbazine     
Saklama kabı Çözücü Konsantrasyon Isı Saklama    Stabilite süresi Kaynaklar
Cam Enjeksiyonluk su 10 mg/ml 25°C Işıktan koruyunuz
15 Zaman
3266
Üreticinin stabilite verileri

Cam Enjeksiyonluk su 10 mg/ml 6-8°C Işıktan koruyunuz
14 Gün
3266
Üreticinin stabilite verileri

Cam Enjeksiyonluk su 11 mg/ml 2-6°C Işıktan koruyunuz
7 Gün
1635
Kanıt düzeyi B

Cam Enjeksiyonluk su 11 mg/ml 20-25°C Işıktan koruyunuz
96 Zaman
1635
Kanıt düzeyi B

Cam Sodyum klorür % 0,9 0,64 mg/ml 23°C Işıktan koruyunuz
48 Zaman
1501
Kanıt düzeyi A

Cam Sodyum klorür % 0,9 0,64 mg/ml 4°C Işıktan koruyunuz
48 Zaman
1501
Kanıt düzeyi A

Polivinil klorür Sodyum klorür % 0,9 0,64 mg/ml 23°C Işıktan koruyunuz
48 Zaman
1501
Kanıt düzeyi A

Polivinil klorür Sodyum klorür % 0,9 0,64 mg/ml 4°C Işıktan koruyunuz
48 Zaman
1501
Kanıt düzeyi A

Polivinil klorür Sodyum klorür % 0,9 1,6 mg/ml 4°C Işıktan koruyunuz
30 Gün
40
Kanıt düzeyi D

Polivinil klorür Glukoz %5 1,4 mg/ml 2-6°C Işıktan koruyunuz
168 Zaman
1635
Kanıt düzeyi B

Polivinil klorür Glukoz %5 1,4 mg/ml 20°C-25°C Işıktan koruyunuz
72 Zaman
1635
Kanıt düzeyi B

Polivinil klorür Glukoz %5 1,6 mg/ml 4°C Işıktan koruyunuz
30 Gün
40
Kanıt düzeyi D

Polietilen Sodyum klorür % 0,9 0,64 mg/ml 23°C Işıktan koruyunuz
48 Zaman
1501
Kanıt düzeyi A

Polietilen Sodyum klorür % 0,9 0,64 mg/ml 4°C Işıktan koruyunuz
48 Zaman
1501
Kanıt düzeyi A

Belirtilmemiş Sodyum klorür % 0,9 mg/ml 25°C Işıktan koruyunuz
9 Zaman
3266
Üreticinin stabilite verileri

Belirtilmemiş Sodyum klorür % 0,9 mg/ml 6-8°C Işıktan koruyunuz
6 Gün
3266
Üreticinin stabilite verileri

Belirtilmemiş Glukoz %5 mg/ml 25°C Işıktan koruyunuz
9 Zaman
3266
Üreticinin stabilite verileri

Belirtilmemiş Glukoz %5 mg/ml 6-8°C Işıktan koruyunuz
6 Gün
3266
Üreticinin stabilite verileri


  Mentions Légales