Dernière mise à jour :
18/03/2026
Anticancéreux   Dacarbazine  
injectable
Stabilité des solutions Stabilité en mélange Facteur influençant la stabilité Compatibilités Voie d’administration Bibliographie pdf
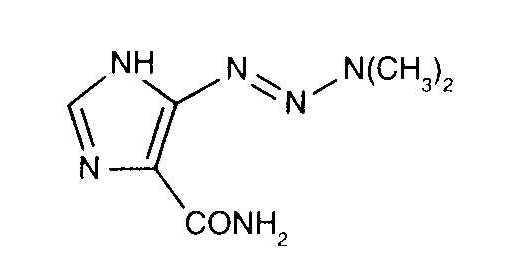
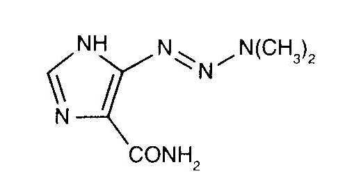
   Structure chimique  

Noms commerciaux   Noms commerciaux     

Les noms commerciaux sont donnés à titre indicatif et la composition en excipients peut être différente selon les pays et selon les laboratoires

Acocarb Mexique
Celdaz Inde, Pérou
Dabaz Brésil, Inde
Dacarba Inde
Dacarbazin Autriche, Hongrie, Malaisie, Pologne
Dacarbazina Argentine, Brésil, Chili, Colombie, Equateur, Espagne, Italie, Mexique, Pérou
Dacarbazine Australie, Belgique, Canada, Danemark, Etats Unis d’Amérique, Grande Bretagne, Inde, Iran, Irlande, Nouvelle Zélande, Suède
Dacarex Inde
Dacarin Inde
Dacarpalm Pérou
Dacarzine Inde
Dacin Slovénie, Suisse
Dacmed Inde
Daracina Colombie
Deticene Arabie Saoudite, France, Grèce, Pays bas, Portugal
Detimedac Allemagne, Colombie, Roumanie, Tunisie
DTIC Autriche, Etats Unis d’Amérique, Nouvelle Zélande
Fauldetic Portugal
Oncocarbil Argentine, Equateur, Pérou
Tiferomed Mexique
Stabilité des solutions   injectable   Stabilité des solutions : Dacarbazine     
Contenant Solvant Concentration Température Conservation Durée de stabilité Bibliographie
Verre Eau pour préparation injectable 10 mg/ml 25°C A l’abri de la lumière
15 Heure
3266
Données de stabilité du fabricant

Verre Eau pour préparation injectable 10 mg/ml 6-8°C A l’abri de la lumière
14 Jour
3266
Données de stabilité du fabricant

Verre Eau pour préparation injectable 11 mg/ml 2-6°C A l’abri de la lumière
7 Jour
1635
Niveau de preuve B

Verre Eau pour préparation injectable 11 mg/ml 20-25°C A l’abri de la lumière
96 Heure
1635
Niveau de preuve B

Verre Chlorure de sodium 0,9% 0,64 mg/ml 23°C A l’abri de la lumière
48 Heure
1501
Niveau de preuve A

Verre Chlorure de sodium 0,9% 0,64 mg/ml 4°C A l’abri de la lumière
48 Heure
1501
Niveau de preuve A

Polyvinyl chlorure Chlorure de sodium 0,9% 0,64 mg/ml 23°C A l’abri de la lumière
48 Heure
1501
Niveau de preuve A

Polyvinyl chlorure Chlorure de sodium 0,9% 0,64 mg/ml 4°C A l’abri de la lumière
48 Heure
1501
Niveau de preuve A

Polyvinyl chlorure Chlorure de sodium 0,9% 1,6 mg/ml 4°C A l’abri de la lumière
30 Jour
40
Niveau de preuve D

Polyvinyl chlorure Glucose 5% 1,4 mg/ml 2-6°C A l’abri de la lumière
168 Heure
1635
Niveau de preuve B

Polyvinyl chlorure Glucose 5% 1,4 mg/ml 20°C-25°C A l’abri de la lumière
72 Heure
1635
Niveau de preuve B

Polyvinyl chlorure Glucose 5% 1,6 mg/ml 4°C A l’abri de la lumière
30 Jour
40
Niveau de preuve D

Polyéthylène Chlorure de sodium 0,9% 0,64 mg/ml 23°C A l’abri de la lumière
48 Heure
1501
Niveau de preuve A

Polyéthylène Chlorure de sodium 0,9% 0,64 mg/ml 4°C A l’abri de la lumière
48 Heure
1501
Niveau de preuve A

Non précisé Chlorure de sodium 0,9% mg/ml 25°C A l’abri de la lumière
9 Heure
3266
Données de stabilité du fabricant

Non précisé Chlorure de sodium 0,9% mg/ml 6-8°C A l’abri de la lumière
6 Jour
3266
Données de stabilité du fabricant

Non précisé Glucose 5% mg/ml 25°C A l’abri de la lumière
9 Heure
3266
Données de stabilité du fabricant

Non précisé Glucose 5% mg/ml 6-8°C A l’abri de la lumière
6 Jour
3266
Données de stabilité du fabricant


  Mentions Légales