Senaste uppdateringen :
27/01/2026
cancerläkemedel   Dacarbazine  
injektion
Lösningars stabilitet Stabilitet i blandningar Faktorer som påverkar stabiliteten Kompatibilitet Administreringssätt Hänvisningar pdf
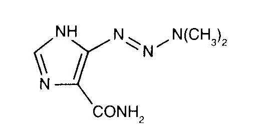
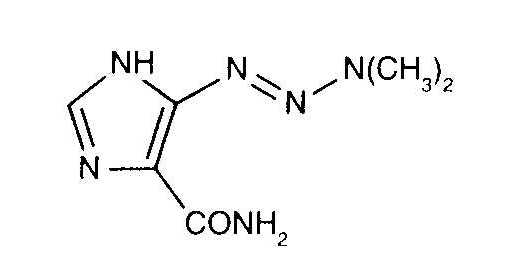
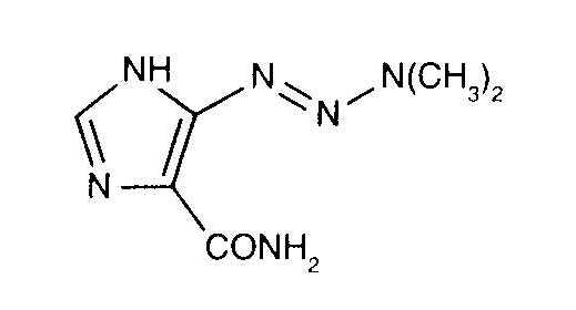
   Molekylstruktur  

Varunamn   Varunamn     

Angivna handelsnamn på läkemedel är enbart vägledande då formulering inklusive hjälpämnen kan variera mellan länder och tillverkare

Acocarb Mexiko
Celdaz Indien, Peru
Dabaz Brasilien, Indien
Dacarba Indien
Dacarbazin Malaysia, Österrike, Polen, Ungern
Dacarbazina Argentina, Brasilien, Chile, Colombia, Ecuador, Italien, Mexiko, Peru, Spanien
Dacarbazine Australien, Belgien, Danmark, Förenta Staterna, Indien, Iran, Irland, Kanada, nya Zeeland, Storbritannien, Sverige
Dacarex Indien
Dacarin Indien
Dacarpalm Peru
Dacarzine Indien
Dacin Schweiz, Slovenien
Dacmed Indien
Daracina Colombia
Deticene Frankrike, Grekland, Nederländerna, Portugal, Saudi-Arabien
Detimedac Colombia, Rumänien, Tunisien, Tyskland
DTIC Förenta Staterna, nya Zeeland, Österrike
Fauldetic Portugal
Oncocarbil Argentina, Ecuador, Peru
Tiferomed Mexiko
Lösningars stabilitet   injektion   Lösningars stabilitet : Dacarbazine     
Behållare Lösningsmedel Koncentration Temperatur Förvaring Stabilitets varaktighet Hänvisningar
Glas Vatten för injektion 10 mg/ml 25°C Skyddas från ljus
15 Timma
3266
Tillverkarens stabilitetsuppgifter

Glas Vatten för injektion 10 mg/ml 6-8°C Skyddas från ljus
14 Dag
3266
Tillverkarens stabilitetsuppgifter

Glas Vatten för injektion 11 mg/ml 2-6°C Skyddas från ljus
7 Dag
1635
Evidensnivå B

Glas Vatten för injektion 11 mg/ml 20-25°C Skyddas från ljus
96 Timma
1635
Evidensnivå B

Glas Natriumklorid 0,9 % 0,64 mg/ml 23°C Skyddas från ljus
48 Timma
1501
Evidensnivå A

Glas Natriumklorid 0,9 % 0,64 mg/ml 4°C Skyddas från ljus
48 Timma
1501
Evidensnivå A

Polyvinylklorid Natriumklorid 0,9 % 0,64 mg/ml 23°C Skyddas från ljus
48 Timma
1501
Evidensnivå A

Polyvinylklorid Natriumklorid 0,9 % 0,64 mg/ml 4°C Skyddas från ljus
48 Timma
1501
Evidensnivå A

Polyvinylklorid Natriumklorid 0,9 % 1,6 mg/ml 4°C Skyddas från ljus
30 Dag
40
Evidensnivå D

Polyvinylklorid Glukos 5 % 1,4 mg/ml 2-6°C Skyddas från ljus
168 Timma
1635
Evidensnivå B

Polyvinylklorid Glukos 5 % 1,4 mg/ml 20°C-25°C Skyddas från ljus
72 Timma
1635
Evidensnivå B

Polyvinylklorid Glukos 5 % 1,6 mg/ml 4°C Skyddas från ljus
30 Dag
40
Evidensnivå D

Polyetylen Natriumklorid 0,9 % 0,64 mg/ml 23°C Skyddas från ljus
48 Timma
1501
Evidensnivå A

Polyetylen Natriumklorid 0,9 % 0,64 mg/ml 4°C Skyddas från ljus
48 Timma
1501
Evidensnivå A

Ej angiven Natriumklorid 0,9 % mg/ml 25°C Skyddas från ljus
9 Timma
3266
Tillverkarens stabilitetsuppgifter

Ej angiven Natriumklorid 0,9 % mg/ml 6-8°C Skyddas från ljus
6 Dag
3266
Tillverkarens stabilitetsuppgifter

Ej angiven Glukos 5 % mg/ml 25°C Skyddas från ljus
9 Timma
3266
Tillverkarens stabilitetsuppgifter

Ej angiven Glukos 5 % mg/ml 6-8°C Skyddas från ljus
6 Dag
3266
Tillverkarens stabilitetsuppgifter


  Mentions Légales