Pēdējā atjaunošana :
27/01/2026
vēzis narkotiku   Dacarbazine  
Injekcija
Šķīduma stabilitāte Maisījuma stabilitāte Stabilitāti ietekmējoši faktori Saderība Levadīšanas veids Literatūras saraksts pdf
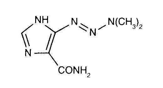
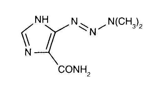
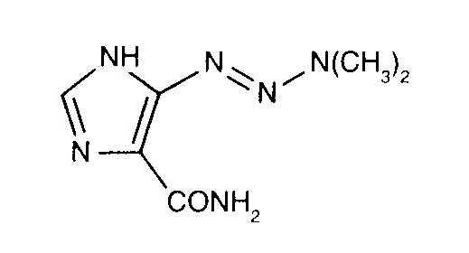
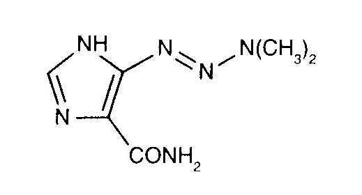
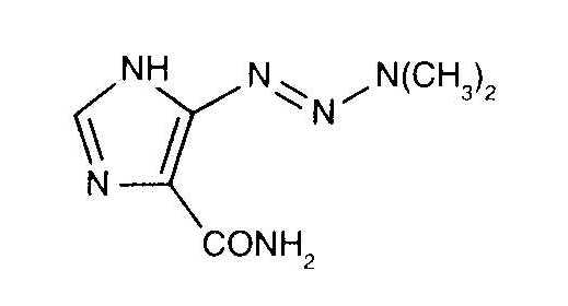
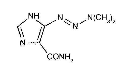
   Ķīmiskā uzbūve   

Oriģinālais nosaukums   Oriģinālais nosaukums     

Tirdzniecības nosaukumi ir apzīmējoši un palīgvielas var atšķirties dažādām valstīm un laboratorijām

Acocarb Meksika
Celdaz Indija, Peru
Dabaz Brazīlija, Indija
Dacarba Indija
Dacarbazin Austrija, Malaizija, Polija, Ungārija
Dacarbazina Argentīna, Brazīlija, Čīle, Ekvadora, Itālija, Kolumbija, Meksika, Peru, Spānija
Dacarbazine Amerikas Savienotās Valstis, Austrālija, Beļģija, Dānija, Indija, Irāna, Īrija, Jaunzēlande, Kanāda, Lielbritānija, Zviedrija
Dacarex Indija
Dacarin Indija
Dacarpalm Peru
Dacarzine Indija
Dacin Slovēnija, Šveice
Dacmed Indija
Daracina Kolumbija
Deticene Francija, Grieķija, Holande, Portugāle, Saūda Arābija
Detimedac Kolumbija, Rumānija, Tunisija, Vācija
DTIC Amerikas Savienotās Valstis, Austrija, Jaunzēlande
Fauldetic Portugāle
Oncocarbil Argentīna, Ekvadora, Peru
Tiferomed Meksika
Šķīduma stabilitāte   Injekcija   Šķīduma stabilitāte : Dacarbazine     
Iepakojums Šķīdinātājs Koncentrācija Temperatūra Glabāšana Stabilitātes ilgums Literatūras saraksts
Stikls Ūdens injekcijām 10 mg/ml 25°C Aizsargāt no gaismas
15 Stunda
3266
Ražotāja stabilitātes dati

Stikls Ūdens injekcijām 10 mg/ml 6-8°C Aizsargāt no gaismas
14 Diena
3266
Ražotāja stabilitātes dati

Stikls Ūdens injekcijām 11 mg/ml 2-6°C Aizsargāt no gaismas
7 Diena
1635
Pierādījumu līmenis B

Stikls Ūdens injekcijām 11 mg/ml 20-25°C Aizsargāt no gaismas
96 Stunda
1635
Pierādījumu līmenis B

Stikls Nātrija hlorīds 0.9% 0,64 mg/ml 23°C Aizsargāt no gaismas
48 Stunda
1501
Pierādījumu līmenis A

Stikls Nātrija hlorīds 0.9% 0,64 mg/ml 4°C Aizsargāt no gaismas
48 Stunda
1501
Pierādījumu līmenis A

Polivinilhlorīds Nātrija hlorīds 0.9% 0,64 mg/ml 23°C Aizsargāt no gaismas
48 Stunda
1501
Pierādījumu līmenis A

Polivinilhlorīds Nātrija hlorīds 0.9% 0,64 mg/ml 4°C Aizsargāt no gaismas
48 Stunda
1501
Pierādījumu līmenis A

Polivinilhlorīds Nātrija hlorīds 0.9% 1,6 mg/ml 4°C Aizsargāt no gaismas
30 Diena
40
Pierādījumu līmenis D

Polivinilhlorīds 5% glikoze 1,4 mg/ml 2-6°C Aizsargāt no gaismas
168 Stunda
1635
Pierādījumu līmenis B

Polivinilhlorīds 5% glikoze 1,4 mg/ml 20°C-25°C Aizsargāt no gaismas
72 Stunda
1635
Pierādījumu līmenis B

Polivinilhlorīds 5% glikoze 1,6 mg/ml 4°C Aizsargāt no gaismas
30 Diena
40
Pierādījumu līmenis D

Polietilēns Nātrija hlorīds 0.9% 0,64 mg/ml 23°C Aizsargāt no gaismas
48 Stunda
1501
Pierādījumu līmenis A

Polietilēns Nātrija hlorīds 0.9% 0,64 mg/ml 4°C Aizsargāt no gaismas
48 Stunda
1501
Pierādījumu līmenis A

Nespecifisks Nātrija hlorīds 0.9% mg/ml 25°C Aizsargāt no gaismas
9 Stunda
3266
Ražotāja stabilitātes dati

Nespecifisks Nātrija hlorīds 0.9% mg/ml 6-8°C Aizsargāt no gaismas
6 Diena
3266
Ražotāja stabilitātes dati

Nespecifisks 5% glikoze mg/ml 25°C Aizsargāt no gaismas
9 Stunda
3266
Ražotāja stabilitātes dati

Nespecifisks 5% glikoze mg/ml 6-8°C Aizsargāt no gaismas
6 Diena
3266
Ražotāja stabilitātes dati


  Mentions Légales