Poslední aktualizace :
18/03/2026
rakovina drog   Dacarbazine  
injekce
Stabilita roztoků Stabilita směsí Faktory ovlivňující stabilitu Kompatibilita Způsoby aplikace Odkazy pdf
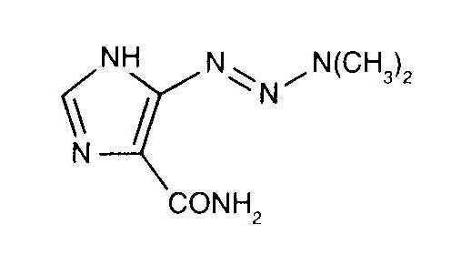
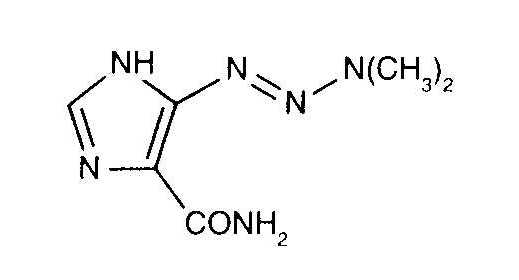
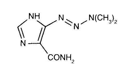
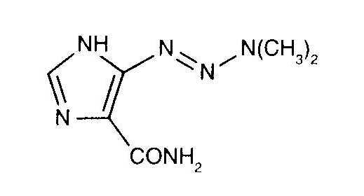
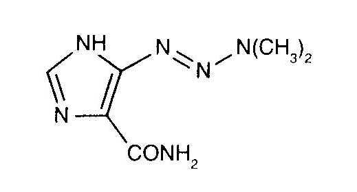
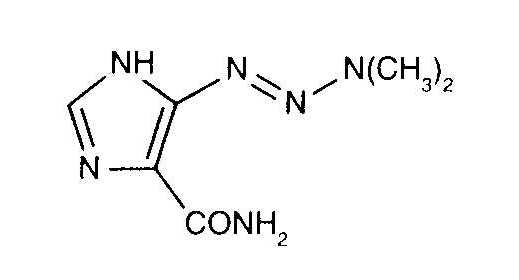
   Chemický vzorec  

Obchodní název   Obchodní název     

Trade names are indicative and excipients composition can be different depending on the country and manufacturers

Acocarb Mexiko
Celdaz Indie, Peru
Dabaz BrazÌlie, Indie
Dacarba Indie
Dacarbazin Malajsie, MaÔarsko, Polsko, Rakousko
Dacarbazina äpanÏlsko, Argentina, BrazÌlie, Chile, Ekvádor, Itálie, Kolumbie, Mexiko, Peru
Dacarbazine Austrálie, Belgie, Dánsko, Indie, Írán, Irsko, Kanada, nový Zéland, Švédsko, USA, Velká Británie
Dacarex Indie
Dacarin Indie
Dacarpalm Peru
Dacarzine Indie
Dacin Slovinsko, Švýcarsko
Dacmed Indie
Daracina Kolumbie
Deticene Francie, Nizozemsko, Portugalsko, Saúdská Arábie, ÿecko
Detimedac Kolumbie, NÏmecko, Rumunsko, Tunisko
DTIC nový Zéland, Rakousko, USA
Fauldetic Portugalsko
Oncocarbil Argentina, Ekvádor, Peru
Tiferomed Mexiko
Stabilita roztoků   injekce   Stabilita roztoků : Dacarbazine     
Obal RozpouötÏdlo Koncentrace Teplota Uchovávání Trvání stability Odkazy
Sklo Voda pro injekci 10 mg/ml 25°C Chráněno před světlem
15 Hodina
3266
Údaje o stabilitě od výrobce

Sklo Voda pro injekci 10 mg/ml 6-8°C Chráněno před světlem
14 Den
3266
Údaje o stabilitě od výrobce

Sklo Voda pro injekci 11 mg/ml 2-6°C Chráněno před světlem
7 Den
1635
Úroveň zkoušky B

Sklo Voda pro injekci 11 mg/ml 20-25°C Chráněno před světlem
96 Hodina
1635
Úroveň zkoušky B

Sklo Chlorid sodný 0,9% 0,64 mg/ml 23°C Chráněno před světlem
48 Hodina
1501
Úroveň zkoušky A

Sklo Chlorid sodný 0,9% 0,64 mg/ml 4°C Chráněno před světlem
48 Hodina
1501
Úroveň zkoušky A

Polyvinyl chlorid Chlorid sodný 0,9% 0,64 mg/ml 23°C Chráněno před světlem
48 Hodina
1501
Úroveň zkoušky A

Polyvinyl chlorid Chlorid sodný 0,9% 0,64 mg/ml 4°C Chráněno před světlem
48 Hodina
1501
Úroveň zkoušky A

Polyvinyl chlorid Chlorid sodný 0,9% 1,6 mg/ml 4°C Chráněno před světlem
30 Den
40
Úroveň zkoušky D

Polyvinyl chlorid GlukÛza 5% 1,4 mg/ml 2-6°C Chráněno před světlem
168 Hodina
1635
Úroveň zkoušky B

Polyvinyl chlorid GlukÛza 5% 1,4 mg/ml 20°C-25°C Chráněno před světlem
72 Hodina
1635
Úroveň zkoušky B

Polyvinyl chlorid GlukÛza 5% 1,6 mg/ml 4°C Chráněno před světlem
30 Den
40
Úroveň zkoušky D

Polyethylen Chlorid sodný 0,9% 0,64 mg/ml 23°C Chráněno před světlem
48 Hodina
1501
Úroveň zkoušky A

Polyethylen Chlorid sodný 0,9% 0,64 mg/ml 4°C Chráněno před světlem
48 Hodina
1501
Úroveň zkoušky A

Nespecifikováno Chlorid sodný 0,9% mg/ml 25°C Chráněno před světlem
9 Hodina
3266
Údaje o stabilitě od výrobce

Nespecifikováno Chlorid sodný 0,9% mg/ml 6-8°C Chráněno před světlem
6 Den
3266
Údaje o stabilitě od výrobce

Nespecifikováno GlukÛza 5% mg/ml 25°C Chráněno před světlem
9 Hodina
3266
Údaje o stabilitě od výrobce

Nespecifikováno GlukÛza 5% mg/ml 6-8°C Chráněno před světlem
6 Den
3266
Údaje o stabilitě od výrobce


  Mentions Légales