آخر تحديث :
18/03/2026
المضادة للسرطان المخدرات   Dacarbazine  
حقن
الاستقرار في حلول استقرار مخاليط العوامل التي تؤثر على الاستقرار التوافق طريقة التعاطي مراجع pdf
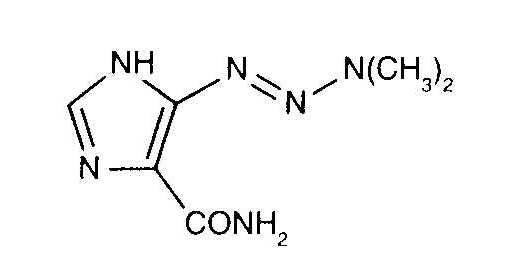
   التركيب الكيميائي  

حجز الاسم التجاري   حجز الاسم التجاري     

تحذير الأسماء التجاريه المختلفه قد تحتوي علي محتوي إضافات مختلفة حسب الدوله و المعمل

Acocarb المكسيك
Celdaz الهند, بيرو
Dabaz البرازيل, الهند
Dacarba الهند
Dacarbazin النمسا, بولندا, ماليزيا, هنغاريا
Dacarbazina إسبانيا, إيطاليا, الأرجنتين, الإكوادور, البرازيل, المكسيك, بيرو, تشيلي, كولومبيا
Dacarbazine أستراليا, إيران, الدنمارك, السويد, الهند, الولايات المتحدة, ايرلندا, بريطانيا العظمي, بلجيكا, زيلاندا الجديدة, كندا
Dacarex الهند
Dacarin الهند
Dacarpalm بيرو
Dacarzine الهند
Dacin سلوفينيا, سويسرا
Dacmed الهند
Daracina كولومبيا
Deticene البرتغال, العربية السعودية, فرنسا, هولندا, يونان
Detimedac ألمانيا, تونس, رومانيا, كولومبيا
DTIC النمسا, الولايات المتحدة, زيلاندا الجديدة
Fauldetic البرتغال
Oncocarbil الأرجنتين, الإكوادور, بيرو
Tiferomed المكسيك
الاستقرار في حلول   حقن   الاستقرار في حلول : Dacarbazine     
حاوية مذيب تركيز درجة الحرارة تخزين مدة الاستقرار مراجع
زجاج حقن المياه لل 10 mg/ml 25°C بعيدا عن الضوء
15 ساعة
3266
بيانات الشركة المصنعة \\ \'ق الاستقرار

زجاج حقن المياه لل 10 mg/ml 6-8°C بعيدا عن الضوء
14 يوم
3266
بيانات الشركة المصنعة \\ \'ق الاستقرار

زجاج حقن المياه لل 11 mg/ml 2-6°C بعيدا عن الضوء
7 يوم
1635
B مستوى الأدلة

زجاج حقن المياه لل 11 mg/ml 20-25°C بعيدا عن الضوء
96 ساعة
1635
B مستوى الأدلة

زجاج كلوريد الصوديوم 0.9% 0,64 mg/ml 23°C بعيدا عن الضوء
48 ساعة
1501
A مستوى الأدلة

زجاج كلوريد الصوديوم 0.9% 0,64 mg/ml 4°C بعيدا عن الضوء
48 ساعة
1501
A مستوى الأدلة

البولي فينيل كلوريد كلوريد الصوديوم 0.9% 0,64 mg/ml 23°C بعيدا عن الضوء
48 ساعة
1501
A مستوى الأدلة

البولي فينيل كلوريد كلوريد الصوديوم 0.9% 0,64 mg/ml 4°C بعيدا عن الضوء
48 ساعة
1501
A مستوى الأدلة

البولي فينيل كلوريد كلوريد الصوديوم 0.9% 1,6 mg/ml 4°C بعيدا عن الضوء
30 يوم
40
D مستوى الأدلة

البولي فينيل كلوريد الجلوكوز %5 1,4 mg/ml 2-6°C بعيدا عن الضوء
168 ساعة
1635
B مستوى الأدلة

البولي فينيل كلوريد الجلوكوز %5 1,4 mg/ml 20°C-25°C بعيدا عن الضوء
72 ساعة
1635
B مستوى الأدلة

البولي فينيل كلوريد الجلوكوز %5 1,6 mg/ml 4°C بعيدا عن الضوء
30 يوم
40
D مستوى الأدلة

البولي ايثيلين كلوريد الصوديوم 0.9% 0,64 mg/ml 23°C بعيدا عن الضوء
48 ساعة
1501
A مستوى الأدلة

البولي ايثيلين كلوريد الصوديوم 0.9% 0,64 mg/ml 4°C بعيدا عن الضوء
48 ساعة
1501
A مستوى الأدلة

لم يتم تحديد كلوريد الصوديوم 0.9% mg/ml 25°C بعيدا عن الضوء
9 ساعة
3266
بيانات الشركة المصنعة \\ \'ق الاستقرار

لم يتم تحديد كلوريد الصوديوم 0.9% mg/ml 6-8°C بعيدا عن الضوء
6 يوم
3266
بيانات الشركة المصنعة \\ \'ق الاستقرار

لم يتم تحديد الجلوكوز %5 mg/ml 25°C بعيدا عن الضوء
9 ساعة
3266
بيانات الشركة المصنعة \\ \'ق الاستقرار

لم يتم تحديد الجلوكوز %5 mg/ml 6-8°C بعيدا عن الضوء
6 يوم
3266
بيانات الشركة المصنعة \\ \'ق الاستقرار


  Mentions Légales