Posledná aktualizácia :
27/01/2026
Protinádorová liečba   Dacarbazine  
Injekcia
Stabilita roztokov Stabilita v zmesiach Faktory ovplyvňujúce stabilitu Kompatibility spôsob podania Odkazy na literatúru PDF
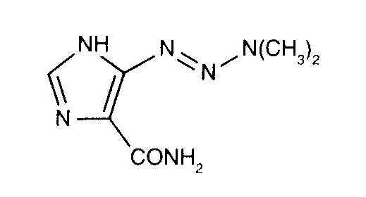
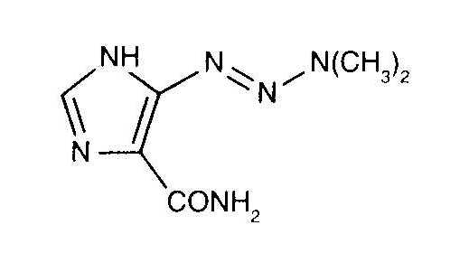
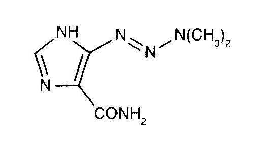
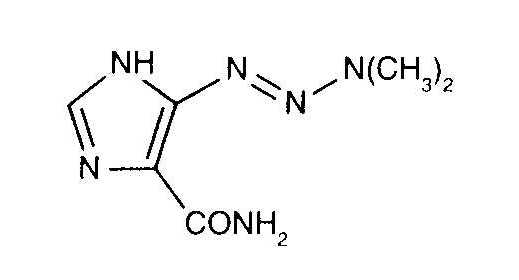
   Chemický vzorec  

Obchodný názov   Obchodný názov     

Obchodné názvy sú orientačné, a zloženie pomocných látok sa môže líšiť v závislosti od krajiny a výrobcu.

Acocarb Mexiko
Celdaz India, peru
Dabaz Brazília, India
Dacarba India
Dacarbazin Maďarsko, Malajzia, Poľsko, Rakúsko
Dacarbazina Argentína, Brazília, Čile, Ekvádor, Kolumbia, Mexiko, peru, Španielsko, Taliansko
Dacarbazine Austrália, Belgicko, Dánsko, India, Irán, Írsko, Kanada, nový Zéland, Spojené štáty Americké, Švédsko, Veľká Británia
Dacarex India
Dacarin India
Dacarpalm peru
Dacarzine India
Dacin Slovinsko, Švajčiarsko
Dacmed India
Daracina Kolumbia
Deticene Francúzsko, Grécko, Holandsko, Portugalsko, Saudská Arábia
Detimedac Kolumbia, Nemecko, Rumunsko, Tunisko
DTIC nový Zéland, Rakúsko, Spojené štáty Americké
Fauldetic Portugalsko
Oncocarbil Argentína, Ekvádor, peru
Tiferomed Mexiko
Stabilita roztokov   Injekcia   Stabilita roztokov : Dacarbazine     
obal rozpúšťadlo koncentrácia teplota uchovávanie Trvanie stability odkazy na lieteratúru
Sklo voda na injekciu 10 mg/ml 25°C Chránené pred svetlom
15 hodín
3266
Údaje o stabilite od výrobcu

Sklo voda na injekciu 10 mg/ml 6-8°C Chránené pred svetlom
14 dní
3266
Údaje o stabilite od výrobcu

Sklo voda na injekciu 11 mg/ml 2-6°C Chránené pred svetlom
7 dní
1635
Úroveň dôkazov B

Sklo voda na injekciu 11 mg/ml 20-25°C Chránené pred svetlom
96 hodín
1635
Úroveň dôkazov B

Sklo 0,9% chlorid sodný 0,64 mg/ml 23°C Chránené pred svetlom
48 hodín
1501
Úroveň dôkazov A

Sklo 0,9% chlorid sodný 0,64 mg/ml 4°C Chránené pred svetlom
48 hodín
1501
Úroveň dôkazov A

polyvinylchlorid (PVC) 0,9% chlorid sodný 0,64 mg/ml 23°C Chránené pred svetlom
48 hodín
1501
Úroveň dôkazov A

polyvinylchlorid (PVC) 0,9% chlorid sodný 0,64 mg/ml 4°C Chránené pred svetlom
48 hodín
1501
Úroveň dôkazov A

polyvinylchlorid (PVC) 0,9% chlorid sodný 1,6 mg/ml 4°C Chránené pred svetlom
30 dní
40
Úroveň dôkazov D

polyvinylchlorid (PVC) 5% glukóza 1,4 mg/ml 2-6°C Chránené pred svetlom
168 hodín
1635
Úroveň dôkazov B

polyvinylchlorid (PVC) 5% glukóza 1,4 mg/ml 20°C-25°C Chránené pred svetlom
72 hodín
1635
Úroveň dôkazov B

polyvinylchlorid (PVC) 5% glukóza 1,6 mg/ml 4°C Chránené pred svetlom
30 dní
40
Úroveň dôkazov D

polyetylén 0,9% chlorid sodný 0,64 mg/ml 23°C Chránené pred svetlom
48 hodín
1501
Úroveň dôkazov A

polyetylén 0,9% chlorid sodný 0,64 mg/ml 4°C Chránené pred svetlom
48 hodín
1501
Úroveň dôkazov A

nešpecifikované 0,9% chlorid sodný mg/ml 25°C Chránené pred svetlom
9 hodín
3266
Údaje o stabilite od výrobcu

nešpecifikované 0,9% chlorid sodný mg/ml 6-8°C Chránené pred svetlom
6 dní
3266
Údaje o stabilite od výrobcu

nešpecifikované 5% glukóza mg/ml 25°C Chránené pred svetlom
9 hodín
3266
Údaje o stabilite od výrobcu

nešpecifikované 5% glukóza mg/ml 6-8°C Chránené pred svetlom
6 dní
3266
Údaje o stabilite od výrobcu


  Mentions Légales