Последнее обновление :
18/03/2026
Цитостатическое средство   Dacarbazine  
Инъекция
Стабильность растворов Стабильность смесей Факторы, которые влияют на стабильность Совместимость Способы введения Библиография pdf
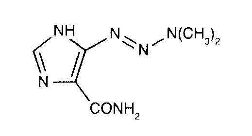
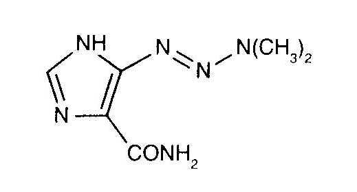
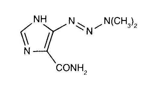
   Химическая структура  

Товарное название   Товарное название     

Trade names are indicative and excipients composition can be different depending on the country and manufacturers

Acocarb Мексика
Celdaz Индия, Перу
Dabaz Бразилия, Индия
Dacarba Индия
Dacarbazin Австрия, Венгрия, Малайзия, Польша
Dacarbazina Аргентина, Бразилия, Испания, Италия, Колумбия, Мексика, Перу, чили, Эквадор
Dacarbazine Австралия, Бельгия, Великобритания, Дания, Индия, Иран, Ирландия, Канада, новая Зеландия, Соединённые Штаты Америки, Швеция
Dacarex Индия
Dacarin Индия
Dacarpalm Перу
Dacarzine Индия
Dacin Словения, Швейцария
Dacmed Индия
Daracina Колумбия
Deticene Голландия, Греция, Португалия, Саудовская Аравия, Франция
Detimedac Германия, Колумбия, Румыния, Тунис
DTIC Австрия, новая Зеландия, Соединённые Штаты Америки
Fauldetic Португалия
Oncocarbil Аргентина, Перу, Эквадор
Tiferomed Мексика
Стабильность растворов   Инъекция   Стабильность растворов : Dacarbazine     
Упаковка Растворитель Концентрация Температура Хранение Продолжительность стабильности Ссылки
Стекло Вода для инъекций 10 mg/ml 25°C Защищён от света
15 Час
3266
Данные по стабльности от изготовителя

Стекло Вода для инъекций 10 mg/ml 6-8°C Защищён от света
14 День
3266
Данные по стабльности от изготовителя

Стекло Вода для инъекций 11 mg/ml 2-6°C Защищён от света
7 День
1635
Уровень доказательности B

Стекло Вода для инъекций 11 mg/ml 20-25°C Защищён от света
96 Час
1635
Уровень доказательности B

Стекло Натрия хлорид 0,9% 0,64 mg/ml 23°C Защищён от света
48 Час
1501
Уровень доказательности A

Стекло Натрия хлорид 0,9% 0,64 mg/ml 4°C Защищён от света
48 Час
1501
Уровень доказательности A

Поливинилхлорид Натрия хлорид 0,9% 0,64 mg/ml 23°C Защищён от света
48 Час
1501
Уровень доказательности A

Поливинилхлорид Натрия хлорид 0,9% 0,64 mg/ml 4°C Защищён от света
48 Час
1501
Уровень доказательности A

Поливинилхлорид Натрия хлорид 0,9% 1,6 mg/ml 4°C Защищён от света
30 День
40
Уровень доказательности D

Поливинилхлорид Глюкоза 5% 1,4 mg/ml 2-6°C Защищён от света
168 Час
1635
Уровень доказательности B

Поливинилхлорид Глюкоза 5% 1,4 mg/ml 20°C-25°C Защищён от света
72 Час
1635
Уровень доказательности B

Поливинилхлорид Глюкоза 5% 1,6 mg/ml 4°C Защищён от света
30 День
40
Уровень доказательности D

Полиэтилен Натрия хлорид 0,9% 0,64 mg/ml 23°C Защищён от света
48 Час
1501
Уровень доказательности A

Полиэтилен Натрия хлорид 0,9% 0,64 mg/ml 4°C Защищён от света
48 Час
1501
Уровень доказательности A

Не указано Натрия хлорид 0,9% mg/ml 25°C Защищён от света
9 Час
3266
Данные по стабльности от изготовителя

Не указано Натрия хлорид 0,9% mg/ml 6-8°C Защищён от света
6 День
3266
Данные по стабльности от изготовителя

Не указано Глюкоза 5% mg/ml 25°C Защищён от света
9 Час
3266
Данные по стабльности от изготовителя

Не указано Глюкоза 5% mg/ml 6-8°C Защищён от света
6 День
3266
Данные по стабльности от изготовителя


  Mentions Légales