Viimeisin päivitys :
27/01/2026
syöpälääke   Dacarbazine  
Injektioneste
Stabilius liuoksessa Stabilius seoksissa Tekijät, jotka vaikuttavat stabiliuteen Yhteensopivuus Antotapa Viitteet pdf
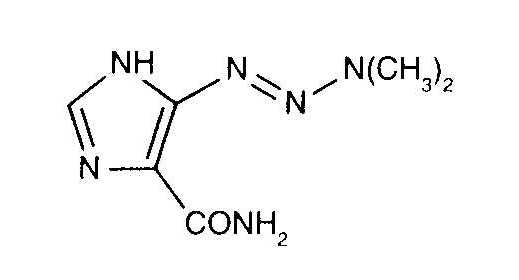
   Kemiallinen rakenne  

Kauppanimi   Kauppanimi     

Trade names are indicative and excipients composition can be different depending on the country and manufacturers

Acocarb Meksiko
Celdaz Intia, Marokko
Dabaz Brasilia, Intia
Dacarba Intia
Dacarbazin Itävalta, Malesia, Puola, Unkari
Dacarbazina Argentiina, Brasilia, Chile, Ecuador, Espanja, Italia, Kolumbia, Marokko, Meksiko
Dacarbazine Australia, Belgia, Intia, Iran, Irlanti, Iso-Britannia, Kanada, New Zealand, Ruotsi, Tanska, Yhdysvallat
Dacarex Intia
Dacarin Intia
Dacarpalm Marokko
Dacarzine Intia
Dacin Slovenia, Sveitsi
Dacmed Intia
Daracina Kolumbia
Deticene Hollanti, Kreikka, Portugali, Ranska, Saudi-Arabia
Detimedac Kolumbia, Romania, Saksa, Tunisia
DTIC Itävalta, New Zealand, Yhdysvallat
Fauldetic Portugali
Oncocarbil Argentiina, Ecuador, Marokko
Tiferomed Meksiko
Stabilius liuoksessa   Injektioneste   Stabilius liuoksessa : Dacarbazine     
Astia Liuotin Konsentraatio Lämpötila Säilytys Vakauden kesto Viitteet
Lasi Injektionesteisiin käytettävä vesi 10 mg/ml 25°C Suojattava valolta
15 tunti
3266
Valmistajan antamat stabiiliustiedot

Lasi Injektionesteisiin käytettävä vesi 10 mg/ml 6-8°C Suojattava valolta
14 Päivä
3266
Valmistajan antamat stabiiliustiedot

Lasi Injektionesteisiin käytettävä vesi 11 mg/ml 2-6°C Suojattava valolta
7 Päivä
1635
Näytön laajuus B

Lasi Injektionesteisiin käytettävä vesi 11 mg/ml 20-25°C Suojattava valolta
96 tunti
1635
Näytön laajuus B

Lasi Natriumkloridi 0,9% 0,64 mg/ml 23°C Suojattava valolta
48 tunti
1501
Näytön laajuus A

Lasi Natriumkloridi 0,9% 0,64 mg/ml 4°C Suojattava valolta
48 tunti
1501
Näytön laajuus A

Polyvinyylikloridi Natriumkloridi 0,9% 0,64 mg/ml 23°C Suojattava valolta
48 tunti
1501
Näytön laajuus A

Polyvinyylikloridi Natriumkloridi 0,9% 0,64 mg/ml 4°C Suojattava valolta
48 tunti
1501
Näytön laajuus A

Polyvinyylikloridi Natriumkloridi 0,9% 1,6 mg/ml 4°C Suojattava valolta
30 Päivä
40
Näytön laajuus D

Polyvinyylikloridi Glukoosi 5% 1,4 mg/ml 2-6°C Suojattava valolta
168 tunti
1635
Näytön laajuus B

Polyvinyylikloridi Glukoosi 5% 1,4 mg/ml 20°C-25°C Suojattava valolta
72 tunti
1635
Näytön laajuus B

Polyvinyylikloridi Glukoosi 5% 1,6 mg/ml 4°C Suojattava valolta
30 Päivä
40
Näytön laajuus D

Polyetyleeni Natriumkloridi 0,9% 0,64 mg/ml 23°C Suojattava valolta
48 tunti
1501
Näytön laajuus A

Polyetyleeni Natriumkloridi 0,9% 0,64 mg/ml 4°C Suojattava valolta
48 tunti
1501
Näytön laajuus A

Ei määritetty Natriumkloridi 0,9% mg/ml 25°C Suojattava valolta
9 tunti
3266
Valmistajan antamat stabiiliustiedot

Ei määritetty Natriumkloridi 0,9% mg/ml 6-8°C Suojattava valolta
6 Päivä
3266
Valmistajan antamat stabiiliustiedot

Ei määritetty Glukoosi 5% mg/ml 25°C Suojattava valolta
9 tunti
3266
Valmistajan antamat stabiiliustiedot

Ei määritetty Glukoosi 5% mg/ml 6-8°C Suojattava valolta
6 Päivä
3266
Valmistajan antamat stabiiliustiedot


  Mentions Légales