Seneste opdatering :
18/03/2026
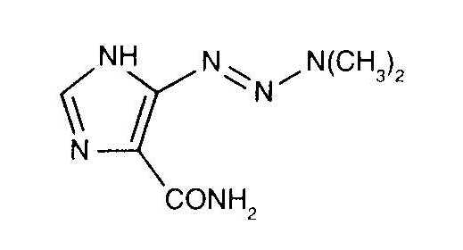
anticancer medicin   Dacarbazine  
Injektion
Stabilitet i (vandige) opløsninger Stabilitet i blandinger Faktorer der påvirker stabiliteten Kompatibilitet Administrationsvej Bibliografi pdf
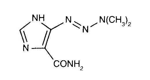
   Kemisk struktur  

Handelsnavn   Handelsnavn     

Handel navne er vejledende og hjælpestoffer sammensætning kan være forskellig afhængigt af landet og laboratorier

Acocarb Mexico
Celdaz Indien, Marokko
Dabaz Brasilien, Indien
Dacarba Indien
Dacarbazin Malaysia, Polen, Ungarn, Østrig
Dacarbazina Argentina, Brasilien, Chile, Colombia, Ecuador, Italien, Marokko, Mexico, Spanien
Dacarbazine Australien, Belgien, Canada, Danmark, Indien, Iran, Irland, New Zealand, Storbritanien, Sverige, USA
Dacarex Indien
Dacarin Indien
Dacarpalm Marokko
Dacarzine Indien
Dacin Schweiz, Slovenien
Dacmed Indien
Daracina Colombia
Deticene Frankrig, Grækenland, Holland, Portugal, Saudi-Arabien
Detimedac Colombia, Rumænien, Tunesien, Tyskland
DTIC New Zealand, USA, Østrig
Fauldetic Portugal
Oncocarbil Argentina, Ecuador, Marokko
Tiferomed Mexico
Stabilitet i (vandige) opløsninger   Injektion   Stabilitet i (vandige) opløsninger : Dacarbazine     
Beholder Opløsningsmiddel Koncentration Temperatur Konservering Varighed af stabilitet Bibliografi
Glas Vand til injektion 10 mg/ml 25°C Beskyt mod lys
15 Time
3266
Producentens stabilitet data

Glas Vand til injektion 10 mg/ml 6-8°C Beskyt mod lys
14 Dag
3266
Producentens stabilitet data

Glas Vand til injektion 11 mg/ml 2-6°C Beskyt mod lys
7 Dag
1635
Level af bevismateriale B

Glas Vand til injektion 11 mg/ml 20-25°C Beskyt mod lys
96 Time
1635
Level af bevismateriale B

Glas 0,9 % Natriumklorid 0,64 mg/ml 23°C Beskyt mod lys
48 Time
1501
Level af bevismateriale A

Glas 0,9 % Natriumklorid 0,64 mg/ml 4°C Beskyt mod lys
48 Time
1501
Level af bevismateriale A

Polyvinylklorid 0,9 % Natriumklorid 0,64 mg/ml 23°C Beskyt mod lys
48 Time
1501
Level af bevismateriale A

Polyvinylklorid 0,9 % Natriumklorid 0,64 mg/ml 4°C Beskyt mod lys
48 Time
1501
Level af bevismateriale A

Polyvinylklorid 0,9 % Natriumklorid 1,6 mg/ml 4°C Beskyt mod lys
30 Dag
40
Level af bevismateriale D

Polyvinylklorid 5 % Glukose 1,4 mg/ml 2-6°C Beskyt mod lys
168 Time
1635
Level af bevismateriale B

Polyvinylklorid 5 % Glukose 1,4 mg/ml 20°C-25°C Beskyt mod lys
72 Time
1635
Level af bevismateriale B

Polyvinylklorid 5 % Glukose 1,6 mg/ml 4°C Beskyt mod lys
30 Dag
40
Level af bevismateriale D

Polyethylen 0,9 % Natriumklorid 0,64 mg/ml 23°C Beskyt mod lys
48 Time
1501
Level af bevismateriale A

Polyethylen 0,9 % Natriumklorid 0,64 mg/ml 4°C Beskyt mod lys
48 Time
1501
Level af bevismateriale A

Ikke angivet nærmere 0,9 % Natriumklorid mg/ml 25°C Beskyt mod lys
9 Time
3266
Producentens stabilitet data

Ikke angivet nærmere 0,9 % Natriumklorid mg/ml 6-8°C Beskyt mod lys
6 Dag
3266
Producentens stabilitet data

Ikke angivet nærmere 5 % Glukose mg/ml 25°C Beskyt mod lys
9 Time
3266
Producentens stabilitet data

Ikke angivet nærmere 5 % Glukose mg/ml 6-8°C Beskyt mod lys
6 Dag
3266
Producentens stabilitet data


  Mentions Légales