Poslední aktualizace :
18/03/2026
vėžio narkotikų   Dacarbazine  
Įpurškimas
Tirpalų stabilumas Mišinių stabilumas Stabilumą lemiantys veiksniai Suderinamumas Leidimo būdai Bibliografija pdf
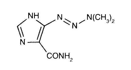
   Cheminė sandara  

Prekinis pavadinimas   Prekinis pavadinimas     

Trade names are indicative and excipients composition can be different depending on the country and manufacturers

Acocarb Meksikas
Celdaz Indija, Peru
Dabaz Brazilija, Indija
Dacarba Indija
Dacarbazin Austrija, Lenkija, Malaizija, Vengrija
Dacarbazina Argentina, Brazilija, Čilė, Ekvadoras, Ispanija, Italija, Kolumbija, Meksikas, Peru
Dacarbazine Airija, Australija, Belgija, Danija, Didžioji Britanija, Indija, Iranas, Jungtinės Amerikos Valstijos, Kanada, Naujojoje Zelandijoje, Švedija
Dacarex Indija
Dacarin Indija
Dacarpalm Peru
Dacarzine Indija
Dacin Slovėnija, Šveicarija
Dacmed Indija
Daracina Kolumbija
Deticene Graikija, Olandija, Portugalija, Prancūzija, Saudo Arabija
Detimedac Kolumbija, Rumunija, Tunisas, Vokietija
DTIC Austrija, Jungtinės Amerikos Valstijos, Naujojoje Zelandijoje
Fauldetic Portugalija
Oncocarbil Argentina, Ekvadoras, Peru
Tiferomed Meksikas
Tirpalų stabilumas   Įpurškimas   Tirpalų stabilumas : Dacarbazine     
Pakuotė Tirpiklis Koncentracija Temperatūra Laikymas Stabilumo trukmė Nuorodos
Stiklas Vanduo injekcijoms 10 mg/ml 25°C Apsaugotas nuo šviesos
15 Valanda
3266
Gamintojo stabilumo duomenys

Stiklas Vanduo injekcijoms 10 mg/ml 6-8°C Apsaugotas nuo šviesos
14 Diena
3266
Gamintojo stabilumo duomenys

Stiklas Vanduo injekcijoms 11 mg/ml 2-6°C Apsaugotas nuo šviesos
7 Diena
1635
Bandymo lygis B

Stiklas Vanduo injekcijoms 11 mg/ml 20-25°C Apsaugotas nuo šviesos
96 Valanda
1635
Bandymo lygis B

Stiklas Natrio chloridas 0,9% 0,64 mg/ml 23°C Apsaugotas nuo šviesos
48 Valanda
1501
Bandymo lygis A

Stiklas Natrio chloridas 0,9% 0,64 mg/ml 4°C Apsaugotas nuo šviesos
48 Valanda
1501
Bandymo lygis A

Polivinilchloridas Natrio chloridas 0,9% 0,64 mg/ml 23°C Apsaugotas nuo šviesos
48 Valanda
1501
Bandymo lygis A

Polivinilchloridas Natrio chloridas 0,9% 0,64 mg/ml 4°C Apsaugotas nuo šviesos
48 Valanda
1501
Bandymo lygis A

Polivinilchloridas Natrio chloridas 0,9% 1,6 mg/ml 4°C Apsaugotas nuo šviesos
30 Diena
40
Bandymo lygis D

Polivinilchloridas Gliukozė 5% 1,4 mg/ml 2-6°C Apsaugotas nuo šviesos
168 Valanda
1635
Bandymo lygis B

Polivinilchloridas Gliukozė 5% 1,4 mg/ml 20°C-25°C Apsaugotas nuo šviesos
72 Valanda
1635
Bandymo lygis B

Polivinilchloridas Gliukozė 5% 1,6 mg/ml 4°C Apsaugotas nuo šviesos
30 Diena
40
Bandymo lygis D

Polietilenas Natrio chloridas 0,9% 0,64 mg/ml 23°C Apsaugotas nuo šviesos
48 Valanda
1501
Bandymo lygis A

Polietilenas Natrio chloridas 0,9% 0,64 mg/ml 4°C Apsaugotas nuo šviesos
48 Valanda
1501
Bandymo lygis A

Nenurodyta Natrio chloridas 0,9% mg/ml 25°C Apsaugotas nuo šviesos
9 Valanda
3266
Gamintojo stabilumo duomenys

Nenurodyta Natrio chloridas 0,9% mg/ml 6-8°C Apsaugotas nuo šviesos
6 Diena
3266
Gamintojo stabilumo duomenys

Nenurodyta Gliukozė 5% mg/ml 25°C Apsaugotas nuo šviesos
9 Valanda
3266
Gamintojo stabilumo duomenys

Nenurodyta Gliukozė 5% mg/ml 6-8°C Apsaugotas nuo šviesos
6 Diena
3266
Gamintojo stabilumo duomenys


  Mentions Légales