Letztes “update” :
17/12/2025
Antidot   Sugammadex  
Injektion
Stabilität der Lösung Gemengestabilität Stabilitätbeeinflussende Faktoren Kompatibilitäten Applikationsart Literaturverzeichnis pdf
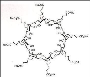
   Chemische Struktur  

Handelsmarke   Handelsmarke     

Handelsnamen sind als beispielhaft anzusehen. Sonstige Bestandteile können je nach Hersteller oder Land verschieden sein

Bridion Argentinien, Australien, Belgien, Brasilien, Chile, Dänemark, Deutschland, Ecuador, Frankreich, Großbritannien, Irland, Island, Italien, Japan, Kolumbien, Luxemburg, Malaysia, Mexiko, Neuseeland, Norwegen, Peru, Portugal, Rumänien, Schweiz, Spanien, Türkei, Ungarn
Desintunev Mexiko
Sagomyl Chile
Sugadion Chile
Sugamastar Peru
Sugammadex Belgien, Chile, Finnland, Irland, Italien, Spanien, Ungarn
Suvitali Mexiko
Literaturverzeichnis   Injektion   Literaturverzeichnis : Sugammadex  
Typ Veröffentlichung
2328 Labor Sugammadex (Bridion®) – Résumé des caractéristiques du produits
Organon 2009
3372 Zeitung Hanci V, Ali Kiraz H, Ömür D, Ekin S, Uyan B, Yurtlu B.S.
Precipitation in Gallipoli: Sugammadex / Amiodarone & Sugammadex / Dobutamine & Sugammadex / Protamine.
Rev Bras Anestesiol 2013 ; 63, 1: 163-166.

  Mentions Légales