Siste oppdatering :
27/11/2025
Motgift   Sugammadex  
Injeksjon
Oppløsningsstabilitet Stabilitet i blandinger Faktorer som påvirker stabiliteten Kompatibilitet Administrasjonsmåte Referanser pdf
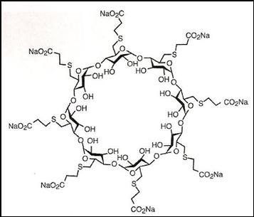
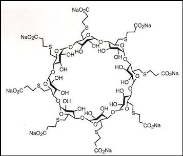
   Kjemisk struktur  

Handelsnavn   Handelsnavn     

Handelsnavn er veiledende og sammensetning av hjelpestoffer kan være forskjellig avhengig av land og produsent

Bridion Argentina, Australia, Belgia, Brasil, Chile, Colombia, Danmark, Ecuador, Frankrike, Irland, Island, Italia, Japan, Luxembourg, Malaysia, Mexico, New Zealand, Norge, Peru, Portugal, Romania, Spania, Storbritannia, Sveits, Tyrkia, Tyskland, Ungarn
Desintunev Mexico
Sagomyl Chile
Sugadion Chile
Sugamastar Peru
Sugammadex Belgia, Chile, Finland, Irland, Italia, Spania, Ungarn
Suvitali Mexico
Referanser   Injeksjon   Referanser : Sugammadex  
Type publikasjon
2328 Labratorium Sugammadex (Bridion®) – Résumé des caractéristiques du produits
Organon 2009
3372 Journal Hanci V, Ali Kiraz H, Ömür D, Ekin S, Uyan B, Yurtlu B.S.
Precipitation in Gallipoli: Sugammadex / Amiodarone & Sugammadex / Dobutamine & Sugammadex / Protamine.
Rev Bras Anestesiol 2013 ; 63, 1: 163-166.

  Mentions Légales