Última actualização :
05/12/2025
antídoto   Sugammadex  
injetável
Estabilidade em soluções simples Estabilidade em misturas Factores que afectam a sua estabilidade Compatibilidade Método de administração Bibliografía pdf
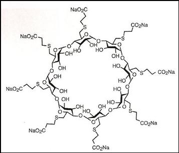
   estrutura química  

Nomes comerciais nos diversos países   Nomes comerciais nos diversos países     

OS NOMES COMERCIAIS SÃO INDICATIVOS E OS EXCIPIENTES DA FORMULAÇÃO PODEM SER DIFERENTES CONFORME O PAÍS E FABRICANTE.

Bridion Alemanha, Argentina, Australia, Bélgica, Brasil, Chilli, Colômbia, Dinamarca, Equator, Espanha, França, Gran-bretanha, Hungria, Irlanda, Islandia, Itália, Japón, Luxemburgo, Malásia, México, Noruega, nova Zelândia, Peru, Portugal, Romènia, Suicia, Turquia
Desintunev México
Sagomyl Chilli
Sugadion Chilli
Sugamastar Peru
Sugammadex Bélgica, Chilli, Espanha, Finlandia, Hungria, Irlanda, Itália
Suvitali México
Bibliografía   injetável   Bibliografía : Sugammadex  
tipo publicação
2328 Laboratório Sugammadex (Bridion®) – Résumé des caractéristiques du produits
Organon 2009
3372 jornal Hanci V, Ali Kiraz H, Ömür D, Ekin S, Uyan B, Yurtlu B.S.
Precipitation in Gallipoli: Sugammadex / Amiodarone & Sugammadex / Dobutamine & Sugammadex / Protamine.
Rev Bras Anestesiol 2013 ; 63, 1: 163-166.

  Mentions Légales