Last update :
27/11/2025
Antidote   Sugammadex  
injection
Stability in solutions Stability of mixtures Factors which affect stability Compatibility Route of administration References pdf
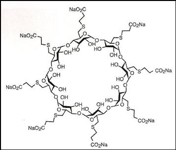
   Chemical structure  

Tradename   Tradename     

Trade names are indicative and excipients composition can be different depending on the country and manufacturers

Bridion Argentina, Australia, Belgium, Brazil, Chile, Colombia, Denmark, Ecuador, France, Germany, Great Britain, Hungary, Iceland, Ireland, Italy, Japan, Luxembourg, Malaysia, Mexico, New Zealand, Norway, Peru, Portugal, Romania, Spain, Switzerland, Turkey
Desintunev Mexico
Sagomyl Chile
Sugadion Chile
Sugamastar Peru
Sugammadex Belgium, Chile, Finland, Hungary, Ireland, Italy, Spain
Suvitali Mexico
References   injection   References : Sugammadex  
Type Publication
2328 Manufacturer Sugammadex (Bridion®) – Résumé des caractéristiques du produits
Organon 2009
3372 Journal Hanci V, Ali Kiraz H, Ömür D, Ekin S, Uyan B, Yurtlu B.S.
Precipitation in Gallipoli: Sugammadex / Amiodarone & Sugammadex / Dobutamine & Sugammadex / Protamine.
Rev Bras Anestesiol 2013 ; 63, 1: 163-166.

  Mentions Légales