Poslední aktualizace :
05/12/2025
Antidotum   Sugammadex  
injekce
Stabilita roztoků Stabilita směsí Faktory ovlivňující stabilitu Kompatibilita Způsoby aplikace Odkazy pdf
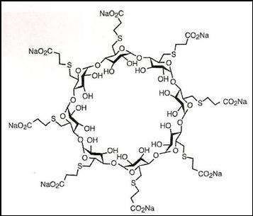
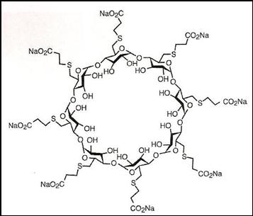
   Chemický vzorec  

Obchodní název   Obchodní název     

Trade names are indicative and excipients composition can be different depending on the country and manufacturers

Bridion äpanÏlsko, Argentina, Austrálie, Belgie, BrazÌlie, Chile, Dánsko, Ekvádor, Francie, Irsko, Island, Itálie, Japonsko, Kolumbie, Lucembursko, Malajsie, MaÔarsko, Mexiko, NÏmecko, Norsko, nový Zéland, Peru, Portugalsko, Rumunsko, Švýcarsko, Turecko, Velká Británie
Desintunev Mexiko
Sagomyl Chile
Sugadion Chile
Sugamastar Peru
Sugammadex äpanÏlsko, Belgie, Chile, Finsko, Irsko, Itálie, MaÔarsko
Suvitali Mexiko
Odkazy   injekce   Odkazy : Sugammadex  
typ uveřejnění
2328 Laboratoř Sugammadex (Bridion®) – Résumé des caractéristiques du produits
Organon 2009
3372 noviny Hanci V, Ali Kiraz H, Ömür D, Ekin S, Uyan B, Yurtlu B.S.
Precipitation in Gallipoli: Sugammadex / Amiodarone & Sugammadex / Dobutamine & Sugammadex / Protamine.
Rev Bras Anestesiol 2013 ; 63, 1: 163-166.

  Mentions Légales