最新更新 :
05/12/2025
解毒药   Sugammadex  
注射液
溶液稳定性 混合物稳定性 影响稳定性的因素 兼容性 用药途径 引用文献 PDF
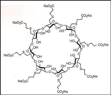
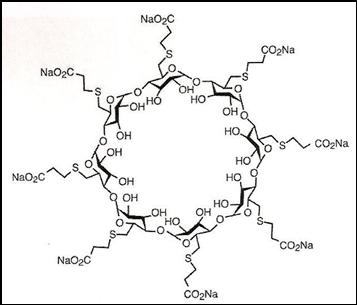
   化学式  

商品名   商品名     

商品名仅供参考, 药品所用的辅料可能依国家或厂商不同有所不同。

Bridion 丹麦, 冰岛, 匈牙利, 卢森堡, 厄瓜多尔, 哥伦比亚, 土耳其, 墨西哥, 巴西, 德国, 意大利, 挪威, 新西蘭, 日本, 智利, 比利时, 法国, 澳大利亚, 爱尔兰, 瑞士, 秘鲁, 罗马尼亚, 英国, 葡萄牙, 西班牙, 阿根廷, 马来西亚
Desintunev 墨西哥
Sagomyl 智利
Sugadion 智利
Sugamastar 秘鲁
Sugammadex 匈牙利, 意大利, 智利, 比利时, 爱尔兰, 芬兰, 西班牙
Suvitali 墨西哥
引用文献   注射液   引用文献 : Sugammadex  
种类 出版物
2328 实验室 Sugammadex (Bridion®) – Résumé des caractéristiques du produits
Organon 2009
3372 文献 Hanci V, Ali Kiraz H, Ömür D, Ekin S, Uyan B, Yurtlu B.S.
Precipitation in Gallipoli: Sugammadex / Amiodarone & Sugammadex / Dobutamine & Sugammadex / Protamine.
Rev Bras Anestesiol 2013 ; 63, 1: 163-166.

  Mentions Légales