Utolsó frissítés :
05/12/2025
Antidotum   Sugammadex  
Injekció
Az oldatok stabilitása A keverékek stabilitása Stabilitást befolyásoló tényezők Kompatibilitás Az alkalmazás módja Irodalom pdf
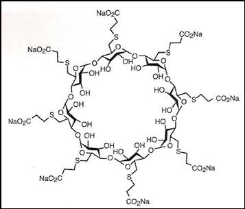
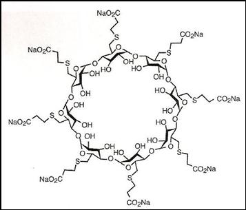
   Kémiai szerkezet   

Kereskedelmi név   Kereskedelmi név     

A kereskedelmi név meghatározó jelentőségű: a készítmények összetétele országonként, előállítóként eltérő lehet

Bridion Argentína, Ausztrália, Belgium, Brazília, Chile, Colombia, Dánia, Ecuador, Franciaország, Írország, Izland, Japán, Luxemburg, Magyarország, Malaysia, Mexikó, Nagy-Britannia, Németország, Norvégia, Olaszország, Peru, Portugália, Románia, Spanyolország, Svájc, Törökország, új-Zéland
Desintunev Mexikó
Sagomyl Chile
Sugadion Chile
Sugamastar Peru
Sugammadex Belgium, Chile, Finnország, Írország, Magyarország, Olaszország, Spanyolország
Suvitali Mexikó
Irodalom   Injekció   Irodalom : Sugammadex  
Type publikáció
2328 Laboratórium Sugammadex (Bridion®) – Résumé des caractéristiques du produits
Organon 2009
3372 Napló Hanci V, Ali Kiraz H, Ömür D, Ekin S, Uyan B, Yurtlu B.S.
Precipitation in Gallipoli: Sugammadex / Amiodarone & Sugammadex / Dobutamine & Sugammadex / Protamine.
Rev Bras Anestesiol 2013 ; 63, 1: 163-166.

  Mentions Légales